



Abstract:An approach for building mixed-initiative tools for the procedural generation of game levels using interactive evolutionary optimisation is introduced. A tool is created based on this approach which (a) is focused on supporting the designer to explore the design space and (b) only requires the designer to interact with it by designing levels. The tool identifies level design patterns in an initial hand-designed map and uses that information to drive an optimisation algorithm. This results in a number of suggestions which are presented to the designer, who can then edit them providing the system with valuable designer feedback. The effectiveness of this approach to create levels with similar level design patterns to a target is illustrated through a series of algorithm driven benchmark tests. To test the mixed-initiative aspect of the tool a triple-blind mixed-method, user study was conducted. When compared to a control group, provided with random level suggestions throughout the design process, the mixed-initiative approach increased engagement in the level design task and was effective in inspiring new ideas and design directions. This provides significant evidence that procedural content generation can be used as a powerful tool to support the human design process.




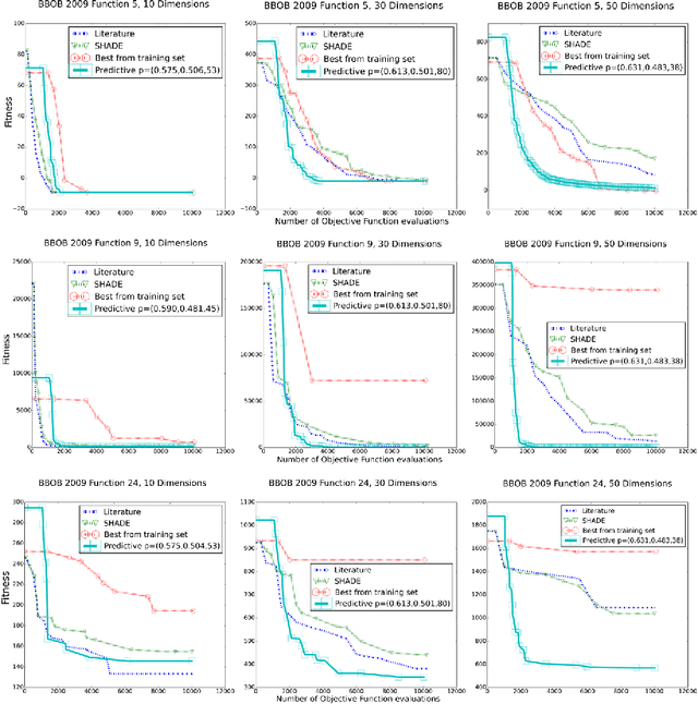
Abstract:A methodology is introduced which uses three simple objective function features to predict effective control parameters for differential evolution. This is achieved using cluster analysis techniques to classify objective functions using these features. Information on prior performance of various control parameters for each classification is then used to determine which control parameters to use in future optimisations. Our approach is compared to an state-of-the-art adaptive technique along with non-adaptive techniques. Two accepted bench mark suites are used to compare performance, in all cases we show that the improvement resulting from our approach is statistically significant. The majority of the computational effort of this methodology is performed off-line, however even taking into account the additional on-line cost our approach outperforms other adaptive techniques. We also study the key tuning parameters of our methodology, which further support the finding that the simple features selected are predictors of effective control parameters. The findings presented in this paper are significant because they show that simple to calculate features of objective functions can help select control parameters for optimisation algorithms. This can have an immediate positive impact the application of these optimisation algorithms on real world problems where it is often difficult to select effective control parameters.