Abstract:Bangla Sign Language (BdSL) translation represents a low-resource NLP task due to the lack of large-scale datasets that address sentence-level translation. Correspondingly, existing research in this field has been limited to word and alphabet level detection. In this work, we introduce Bangla-SGP, a novel parallel dataset consisting of 1,000 human-annotated sentence-gloss pairs which was augmented with around 3,000 synthetically generated pairs using syntactic and morphological rules through a rule-based Retrieval-Augmented Generation (RAG) pipeline. The gloss sequences of the spoken Bangla sentences are made up of individual glosses which are Bangla sign supported words and serve as an intermediate representation for a continuous sign. Our dataset consists of 1000 high quality Bangla sentences that are manually annotated into a gloss sequence by a professional signer. The augmentation process incorporates rule-based linguistic strategies and prompt engineering techniques that we have adopted by critically analyzing our human annotated sentence-gloss pairs and by working closely with our professional signer. Furthermore, we fine-tune several transformer-based models such as mBart50, Google mT5, GPT4.1-nano and evaluate their sentence-to-gloss translation performance using BLEU scores, based on these evaluation metrics we compare the model's gloss-translation consistency across our dataset and the RWTH-PHOENIX-2014T benchmark.




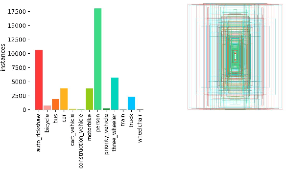
Abstract:In the recent years, we have witnessed a paradigm shift in the field of Computer Vision, with the forthcoming of the transformer architecture. Detection Transformers has become a state of the art solution to object detection and is a potential candidate for Road Object Detection in Autonomous Vehicles. Despite the abundance of object detection schemes, real-time DETR models are shown to perform significantly better on inference times, with minimal loss of accuracy and performance. In our work, we used Real-Time DETR (RTDETR) object detection on the BadODD Road Object Detection dataset based in Bangladesh, and performed necessary experimentation and testing. Our results gave a mAP50 score of 0.41518 in the public 60% test set, and 0.28194 in the private 40% test set.