



Abstract:In a field of research about general reasoning mechanisms, it is essential to have appropriate benchmarks. Ideally, the benchmarks should reflect possible applications of the developed technology. In AI Planning, researchers more and more tend to draw their testing examples from the benchmark collections used in the International Planning Competition (IPC). In the organization of (the deterministic part of) the fourth IPC, IPC-4, the authors therefore invested significant effort to create a useful set of benchmarks. They come from five different (potential) real-world applications of planning: airport ground traffic control, oil derivative transportation in pipeline networks, model-checking safety properties, power supply restoration, and UMTS call setup. Adapting and preparing such an application for use as a benchmark in the IPC involves, at the time, inevitable (often drastic) simplifications, as well as careful choice between, and engineering of, domain encodings. For the first time in the IPC, we used compilations to formulate complex domain features in simple languages such as STRIPS, rather than just dropping the more interesting problem constraints in the simpler language subsets. The article explains and discusses the five application domains and their adaptation to form the PDDL test suites used in IPC-4. We summarize known theoretical results on structural properties of the domains, regarding their computational complexity and provable properties of their topology under the h+ function (an idealized version of the relaxed plan heuristic). We present new (empirical) results illuminating properties such as the quality of the most wide-spread heuristic functions (planning graph, serial planning graph, and relaxed plan), the growth of propositional representations over instance size, and the number of actions available to achieve each fact; we discuss these data in conjunction with the best results achieved by the different kinds of planners participating in IPC-4.




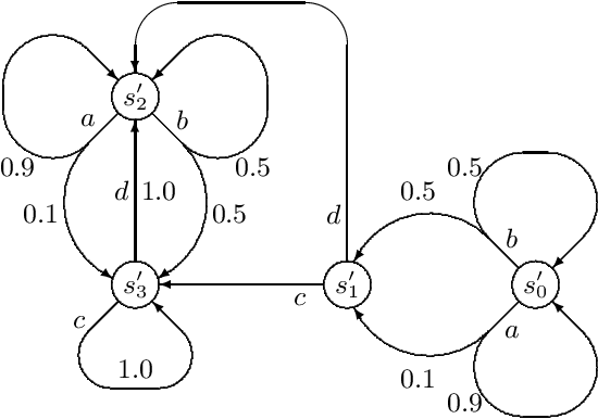
Abstract:A decision process in which rewards depend on history rather than merely on the current state is called a decision process with non-Markovian rewards (NMRDP). In decision-theoretic planning, where many desirable behaviours are more naturally expressed as properties of execution sequences rather than as properties of states, NMRDPs form a more natural model than the commonly adopted fully Markovian decision process (MDP) model. While the more tractable solution methods developed for MDPs do not directly apply in the presence of non-Markovian rewards, a number of solution methods for NMRDPs have been proposed in the literature. These all exploit a compact specification of the non-Markovian reward function in temporal logic, to automatically translate the NMRDP into an equivalent MDP which is solved using efficient MDP solution methods. This paper presents NMRDPP (Non-Markovian Reward Decision Process Planner), a software platform for the development and experimentation of methods for decision-theoretic planning with non-Markovian rewards. The current version of NMRDPP implements, under a single interface, a family of methods based on existing as well as new approaches which we describe in detail. These include dynamic programming, heuristic search, and structured methods. Using NMRDPP, we compare the methods and identify certain problem features that affect their performance. NMRDPPs treatment of non-Markovian rewards is inspired by the treatment of domain-specific search control knowledge in the TLPlan planner, which it incorporates as a special case. In the First International Probabilistic Planning Competition, NMRDPP was able to compete and perform well in both the domain-independent and hand-coded tracks, using search control knowledge in the latter.