Abstract:Recently, Carlini et al. demonstrated the widely used model Stable Diffusion can regurgitate real training samples, which is troublesome from a copyright perspective. In this work, we provide an efficient extraction attack on par with the recent attack, with several order of magnitudes less network evaluations. In the process, we expose a new phenomena, which we dub template verbatims, wherein a diffusion model will regurgitate a training sample largely in tact. Template verbatims are harder to detect as they require retrieval and masking to correctly label. Furthermore, they are still generated by newer systems, even those which de-duplicate their training set, and we give insight into why they still appear during generation. We extract training images from several state of the art systems, including Stable Diffusion 2.0, Deep Image Floyd, and finally Midjourney v4. We release code to verify our extraction attack, perform the attack, as well as all extracted prompts at \url{https://github.com/ryanwebster90/onestep-extraction}.
Abstract:Generative models, such as DALL-E, Midjourney, and Stable Diffusion, have societal implications that extend beyond the field of computer science. These models require large image databases like LAION-2B, which contain two billion images. At this scale, manual inspection is difficult and automated analysis is challenging. In addition, recent studies show that duplicated images pose copyright problems for models trained on LAION2B, which hinders its usability. This paper proposes an algorithmic chain that runs with modest compute, that compresses CLIP features to enable efficient duplicate detection, even for vast image volumes. Our approach demonstrates that roughly 700 million images, or about 30\%, of LAION-2B's images are likely duplicated. Our method also provides the histograms of duplication on this dataset, which we use to reveal more examples of verbatim copies by Stable Diffusion and further justify the approach. The current version of the de-duplicated set will be distributed online.




Abstract:Recently, generative adversarial networks (GANs) have achieved stunning realism, fooling even human observers. Indeed, the popular tongue-in-cheek website {\small \url{ http://thispersondoesnotexist.com}}, taunts users with GAN generated images that seem too real to believe. On the other hand, GANs do leak information about their training data, as evidenced by membership attacks recently demonstrated in the literature. In this work, we challenge the assumption that GAN faces really are novel creations, by constructing a successful membership attack of a new kind. Unlike previous works, our attack can accurately discern samples sharing the same identity as training samples without being the same samples. We demonstrate the interest of our attack across several popular face datasets and GAN training procedures. Notably, we show that even in the presence of significant dataset diversity, an over represented person can pose a privacy concern.




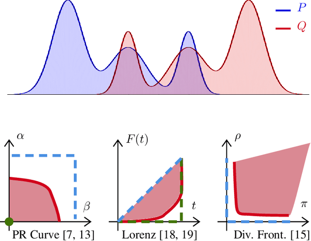
Abstract:The recent advent of powerful generative models has triggered the renewed development of quantitative measures to assess the proximity of two probability distributions. As the scalar Frechet inception distance remains popular, several methods have explored computing entire curves, which reveal the trade-off between the fidelity and variability of the first distribution with respect to the second one. Several of such variants have been proposed independently and while intuitively similar, their relationship has not yet been made explicit. In an effort to make the emerging picture of generative evaluation more clear, we propose a unification of four curves known respectively as: the precision-recall (PR) curve, the Lorenz curve, the receiver operating characteristic (ROC) curve and a special case of R\'enyi divergence frontiers.




Abstract:In this article we revisit the definition of Precision-Recall (PR) curves for generative models proposed by Sajjadi et al. (arXiv:1806.00035). Rather than providing a scalar for generative quality, PR curves distinguish mode-collapse (poor recall) and bad quality (poor precision). We first generalize their formulation to arbitrary measures, hence removing any restriction to finite support. We also expose a bridge between PR curves and type I and type II error rates of likelihood ratio classifiers on the task of discriminating between samples of the two distributions. Building upon this new perspective, we propose a novel algorithm to approximate precision-recall curves, that shares some interesting methodological properties with the hypothesis testing technique from Lopez-Paz et al (arXiv:1610.06545). We demonstrate the interest of the proposed formulation over the original approach on controlled multi-modal datasets.




Abstract:State of the art deep generative networks are capable of producing images with such incredible realism that they can be suspected of memorizing training images. It is why it is not uncommon to include visualizations of training set nearest neighbors, to suggest generated images are not simply memorized. We demonstrate this is not sufficient and motivates the need to study memorization/overfitting of deep generators with more scrutiny. This paper addresses this question by i) showing how simple losses are highly effective at reconstructing images for deep generators ii) analyzing the statistics of reconstruction errors when reconstructing training and validation images, which is the standard way to analyze overfitting in machine learning. Using this methodology, this paper shows that overfitting is not detectable in the pure GAN models proposed in the literature, in contrast with those using hybrid adversarial losses, which are amongst the most widely applied generative methods. The paper also shows that standard GAN evaluation metrics fail to capture memorization for some deep generators. Finally, the paper also shows how off-the-shelf GAN generators can be successfully applied to face inpainting and face super-resolution using the proposed reconstruction method, without hybrid adversarial losses.