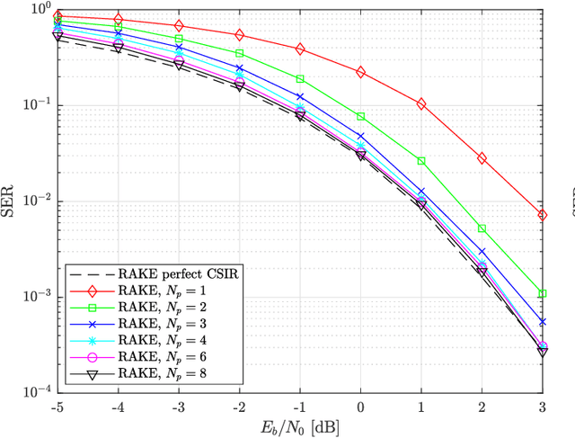
Lab-STICC_SI3




Abstract:This paper presents a novel LoRa (Long Range) receiver operating in frequency selective Multi-Path Channel (MPC). The dechirped received LoRa wave-forms under MPC allows us to derive a simple and efficient LoRa receiver scheme by using a MF (Matched Filter) approach that aims to maximize the SNR (Signal-to-Noise Ratio) at the symbol index frequency of the DFT output. We show that the MF receiver can be seen as RAKE structure where interference peaks related to multipath, exhibited at DFT output, are recombined in a constructive way. Detection performance is driven by channel energy and the benefit of this novel MF/RAKE receiver over original coherent and non-coherent receiver appears only for MPC that exhibits significant paths energy. These two MF and RAKE receivers have however different implementation complexities that are studied in details. We provide in that sense recommendations on which receiver variant to use for real operations, depending on complexity constraints. Finally, the proposed MF/RAKE receiver outperforms previous results on TDEL (Time Delay Estimation LoRa) receiver over MPC, especially at low SNR and higher LoRa Spreading Factor (SF) parameter, at the cost of higher but reasonable complexity.




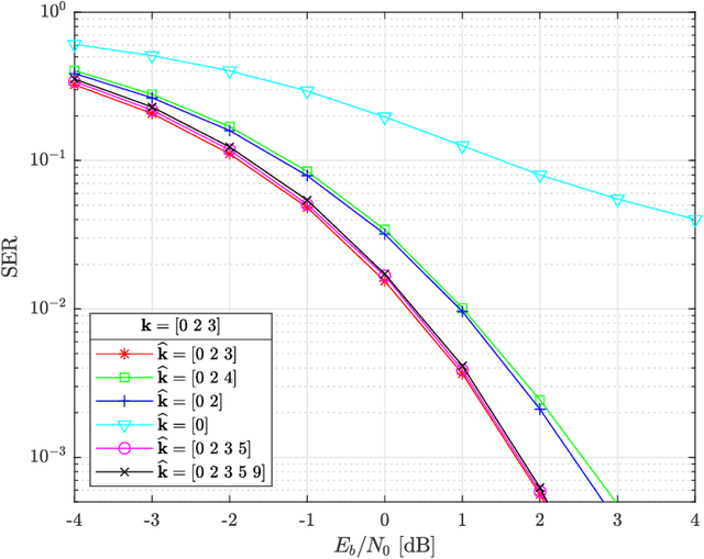
Abstract:This paper presents a semi-analytical approximation of Symbol Error Rate (SER) for the well known LoRa Internet of Things (IoT) modulation scheme in the following two scenarios: 1) in multi-path frequency selective fading channel with Additive White Gaussian Noise (AW GN) and 2) in the presence of a second interfering LoRa user in flat-fading AW GN channel. Performances for both coherent and non-coherent cases are derived by considering the common Discrete Fourier transform (DF T) based detector on the received LoRa waveform. By considering these two scenarios, the detector exhibits parasitic peaks that severely degrade the performance of the LoRa receiver. We propose in that sense a theoretical expression for this result, from which a unified framework based on peak detection probabilities allows us to derive SER, which is validated by Monte Carlo simulations. Fast computation of the derived closedform SER allows to carry out deep performance analysis for these two scenarios.




Abstract:This paper examines the effect of Band Jamming (BJ) and Tone Jamming (TJ) on LoRa signals in a flat Additive White Gaussian Noise (AWGN) channel. In this scenario, LoRa proves to have good resiliency against these jamming attacks. Furthermore, a simple and lightweight BJ and TJ jammer detection scheme is derived. Theoretical and simulation results show good detection capability, especially with Single Tone Jamming (STJ).