



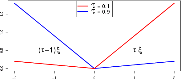
Abstract:We report on an empirical study of the main strategies for conditional quantile estimation in the context of stochastic computer experiments. To ensure adequate diversity, six metamodels are presented, divided into three categories based on order statistics, functional approaches, and those of Bayesian inspiration. The metamodels are tested on several problems characterized by the size of the training set, the input dimension, the quantile order and the value of the probability density function in the neighborhood of the quantile. The metamodels studied reveal good contrasts in our set of 480 experiments, enabling several patterns to be extracted. Based on our results, guidelines are proposed to allow users to select the best method for a given problem.