Duke University
Abstract:Looking towards 6G wireless systems, frequency bands like the sub-terahertz (sub-THz) band (100 GHz - 300 GHz) are gaining traction for their promises of large available swaths of bandwidth to support the ever-growing data demands. However, challenges with harsh channel conditions and hardware nonlinearities in the sub-THz band require robust communication techniques with favorable properties, such as good spectral efficiency and low peak-to-average power ratio (PAPR). Recently, OTFS and its variants have garnered significant attention for their performance in severe conditions (like high delay and Doppler), making it a promising candidate for future communications. In this work, we implement Zak-OTFS for the over-the-air experiments with traditional point pilots and the new spread pilots. Notably, we design our spread-pilot waveforms with communications and sensing coexisting in the same radio resources. We define the system model and the signal design for integration onto our state-of-the-art sub-THz wireless testbed. We show successful data transmission over-the-air at 140 GHz and 240 GHz in a variety of signal-to-noise ratio (SNR) conditions. In addition, we demonstrate integrated sensing and communications (ISAC) capabilities and show PAPR improvement of over 5 dB with spread pilots compared to point pilots.




Abstract:Waveforms with ideal ambiguity functions are fundamental to integrated sensing and communication, to active sensing (radar), and to uplink multiple access. We describe a general method of constructing waveforms using the discrete Zak transform (DZT) to convert sequences of length $MN$ in the time domain to waveforms in the delay-Doppler (DD) domain, each of which is defined by an $M\times N$ quasi-periodic array. The DZT preserves inner products, and we show that phase coded waveforms used in radar (CAZAC sequences) determine noise-like waveforms in the DD domain, each with low Peak to Average Power Ratio. In a Zak-OTFS communication system, we show that these waveforms are mutually unbiased with respect to every carrier and use them to integrate sensing and communication as spread pilots. We view each waveform as a linear combination of Zak-OTFS carriers and show that the self-ambiguity function is supported on a discrete line in the integers modulo $MN$. The sidelobes are significantly lower than the original CAZAC sequence, and the advantage of discrete support is better localization/resolution in delay and Doppler compared with standard methods based on chirps or tones. We show that the absolute value of the cross-ambiguity function for pairs of waveforms in the same family is small and constant. This property makes the waveforms ideal preambles in the 2-step RACH protocol introduced in Release 15, 3GPP to enable grant-free multiple access. The characteristics of the cross-ambiguity function make it possible to simultaneously detect multiple preambles in the presence of mobility and delay spread.
Abstract:Linear time-varying (LTV) systems model radar scenes where each reflector/target applies a delay, Doppler shift and complex amplitude scaling to a transmitted waveform. The receiver processes the received signal using the transmitted signal as a reference. The self-ambiguity function of the transmitted signal captures the cross-correlation of delay and Doppler shifts of the transmitted waveform. It acts as a blur that limits resolution, at the receiver, of the delay and Doppler shifts of targets in close proximity. This paper considers resolution of multiple targets and compares performance of traditional chirp waveforms with the Zak-OTFS waveform. The self-ambiguity function of a chirp is a line in the delay-Doppler domain, whereas the self-ambiguity function of the Zak-OTFS waveform is a lattice. The advantage of lattices over lines is better localization, and we show lattices provide superior noise-free estimation of the range and velocity of multiple targets. When the delay spread of the radar scene is less than the delay period of the Zak-OTFS modulation, and the Doppler spread is less than the Doppler period, we describe how to localize targets by calculating cross-ambiguities in the delay-Doppler domain. We show that the signal processing complexity of our approach is superior to the traditional approach of computing cross-ambiguities in the continuous time / frequency domain.




Abstract:Current wireless infrastructure is optimized to support downlink applications. This paper anticipates the emergence of applications where engineering focus shifts from downlink to uplink. The current paradigm of scheduling users on reserved uplink resources is not able to deal efficiently with unpredictable traffic patterns. As a result, 3GPP introduced the 2-step RACH as a mechanism to enable grant-free (random) initial access. The first of the two steps is preamble detection in a RACH slot, and in this paper we describe a low-complexity algorithm for simultaneous detection of multiple preambles in the presence of mobility and delay spread. We provide a pathway to standards adoption by choosing ZC sequences as preambles, as ZC sequences already appear in 5G standards. We construct preambles by using the discrete Zak transform to pass from a ZC sequence of length MN in the TD to a quasi-periodic MxN array in the DD domain. There are MN quasi-periodic Dirac pulses, each corresponding to a Zak-OTFS carrier waveform, and the ZC preamble is simply the corresponding sum of Zak-OTFS carrier waveforms. We detect multiple preambles in the presence of mobility and delay spread by sampling the received signal on the MxN period grid in the DD domain. We approach detection as a compressed sensing problem. We represent a preamble as a column of length MN in the DD domain and apply discrete shifts in delay and Doppler to produce a block with O(MN) columns in the compressed sensing matrix. The superposition of multiple preambles determines a block sparse sum of columns in the sensing matrix. The correlation properties of ZC sequences result in a highly structured compressed sensing matrix, making it possible to identify constituent preambles using OST, which has complexity O(M^3N^3). In this paper, we describe an algorithm with complexity that is O(M^2N^2) in the size of an individual column.




Abstract:Much of the engineering behind current wireless systems has focused on designing an efficient and high-throughput downlink to support human-centric communication such as video streaming and internet browsing. This paper looks ahead to design of the uplink, anticipating the emergence of machine-type communication (MTC) and the confluence of sensing, communication, and distributed learning. We demonstrate that grant-free multiple access is possible even in the presence of highly time-varying channels. Our approach provides a pathway to standards adoption, since it is built on enhancing the 2-step random access procedure which is already part of the 5GNR standard. This 2-step procedure uses Zadoff-Chu (ZC) sequences as preambles that point to radio resources which are then used to upload data. We also use ZC sequences as preambles / pilots, but we process signals in the Delay-Doppler (DD) domain rather than the time-domain. We demonstrate that it is possible to detect multiple preambles in the presence of mobility and delay spread using a receiver with no knowledge of the channel other than the worst case delay and Doppler spreads. Our approach depends on the mathematical properties of ZC sequences in the DD domain. We derive a closed form expression for ZC pilots in the DD domain, we characterize the possible self-ambiguity functions, and we determine the magnitude of the possible cross-ambiguity functions. These mathematical properties enable detection of multiple pilots through solution of a compressed sensing problem. The columns of the compressed sensing matrix are the translates of individual ZC pilots in delay and Doppler. We show that columns in the design matrix satisfy a coherence property that makes it possible to detect multiple preambles in a single Zak-OTFS subframe using One-Step Thresholding (OST), which is an algorithm with low complexity.




Abstract:When the delay period of the Zak-OTFS carrier is greater than the delay spread of the channel, and the Doppler period of the carrier is greater than the Doppler spread of the channel, the effective channel filter taps can simply be read off from the response to a single pilot carrier waveform. The input-output (I/O) relation can then be reconstructed for a sampled system that operates under finite duration and bandwidth constraints. We introduce a framework for pilot design in the delay-Doppler (DD) domain which makes it possible to support users with very different delay-Doppler characteristics when it is not possible to choose a single delay and Doppler period to support all users. The method is to interleave single pilots in the DD domain, and to choose the pilot spacing so that the I/O relation can be reconstructed by solving a small linear system of equations.




Abstract:The Zak-OTFS input/output (I/O) relation is predictable and non-fading when the delay and Doppler periods are greater than the effective channel delay and Doppler spreads, a condition which we refer to as the crystallization condition. The filter taps can simply be read off from the response to a single Zak-OTFS pilot pulsone, and the I/O relation can be reconstructed for a sampled system that operates under finite duration and bandwidth constraints. In previous work we had measured BER performance of a baseline system where we used separate Zak-OTFS subframes for sensing and data transmission. In this Letter we demonstrate how to use turbo signal processing to match BER performance of this baseline system when we integrate sensing and communication within the same Zak-OTFS subframe. The turbo decoder alternates between channel sensing using a noise-like waveform (spread pulsone) and recovery of data transmitted using point pulsones.




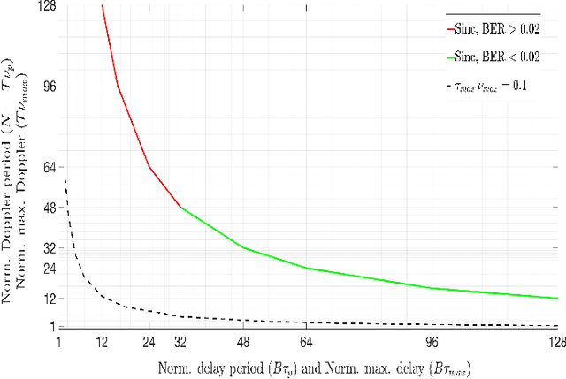
Abstract:The Zak-OTFS input/output (I/O) relation is predictable and non-fading when the delay and Doppler periods are greater than the effective channel delay and Doppler spreads, a condition which we refer to as the crystallization condition. When the crystallization condition is satisfied, we describe how to integrate sensing and communication within a single Zak-OTFS subframe by transmitting a pilot in the center of the subframe and surrounding the pilot with a pilot region and guard band to mitigate interference between data symbols and pilot. At the receiver we first read off the effective channel taps within the pilot region, and then use the estimated channel taps to recover the data from the symbols received outside the pilot region. We introduce a framework for filter design in the delay-Doppler (DD) domain where the symplectic Fourier transform connects aliasing in the DD domain (predictability of the I/O relation) with time/bandwidth expansion. The choice of pulse shaping filter determines the fraction of pilot energy that lies outside the pilot region and the degradation in BER performance that results from the interference to data symbols. We demonstrate that Gaussian filters in the DD domain provide significant improvements in BER performance over the sinc and root raised cosine filters considered in previous work. We also demonstrate that, by limiting DD domain aliasing, Gaussian filters extend the region where the crystallization condition is satisfied. The Gaussian filters considered in this paper are a particular case of factorizable pulse shaping filters in the DD domain, and this family of filters may be of independent interest.




Abstract:The Zak-OTFS input/output (I/O) relation is predictable and non-fading when the delay and Doppler periods are greater than the effective channel delay and Doppler spreads, a condition which we refer to as the crystallization condition. The filter taps can simply be read off from the response to a single Zak-OTFS point (impulse) pulsone waveform, and the I/O relation can be reconstructed for a sampled system that operates under finite duration and bandwidth constraints. Predictability opens up the possibility of a model-free mode of operation. The time-domain realization of a Zak-OTFS point pulsone is a pulse train modulated by a tone, hence the name, pulsone. The Peak-to-Average Power Ratio (PAPR) of a pulsone is about $15$ dB, and we describe a general method for constructing a spread pulsone for which the time-domain realization has a PAPR of about 6dB. We construct the spread pulsone by applying a type of discrete spreading filter to a Zak-OTFS point pulsone. The self-ambiguity function of the point pulsone is supported on the period lattice ${\Lambda}_{p}$, and by applying a discrete chirp filter, we obtain a spread pulsone with a self-ambiguity function that is supported on a rotated lattice ${\Lambda^*}$. We show that if the channel satisfies the crystallization conditions with respect to ${\Lambda^*}$ then the effective DD domain filter taps can simply be read off from the cross-ambiguity between the channel response to the spread pulsone and the transmitted spread pulsone. If, in addition, the channel satisfies the crystallization conditions with respect to the period lattice ${\Lambda}_{p}$, then in an OTFS frame consisting of a spread pilot pulsone and point data pulsones, after cancelling the received signal corresponding to the spread pulsone, we can recover the channel response to any data pulsone.




Abstract:Orthogonal Time Frequency Space (OTFS) is a framework for communications and active sensing that processes signals in the delay-Doppler (DD) domain. It is informed by 6G propagation environments, where Doppler spreads measured in kHz make it more and more difficult to estimate channels, and the standard model-dependent approach to wireless communication is starting to break down. We consider Zak-OTFS where inverse Zak transform converts information symbols mounted on DD domain pulses to the time domain for transmission. Zak-OTFS modulation is parameterized by a delay period $\tau_{p}$ and a Doppler period $\nu_{p}$, where the product $\tau_{p}\nu_{p}=1$. When the channel spread is less than the delay period, and the Doppler spread is less than the Doppler period, the Zak-OTFS input-output relation can be predicted from the response to a single pilot symbol. The highly reliable channel estimates concentrate around the pilot location, and we configure low-density parity-check (LDPC) codes that take advantage of this prior information about reliability. It is advantageous to allocate information symbols to more reliable bins in the DD domain. We report simulation results for a Veh-A channel model where it is not possible to resolve all the paths, showing that LDPC coding extends the range of Doppler spreads for which reliable model-free communication is possible. We show that LDPC coding reduces sensitivity to the choice of transmit filter, making bandwidth expansion less necessary. Finally, we compare BER performance of Zak-OTFS to that of a multicarrier approximation (MC-OTFS), showing LDPC coding amplifies the gains previously reported for uncoded transmission.