


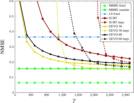
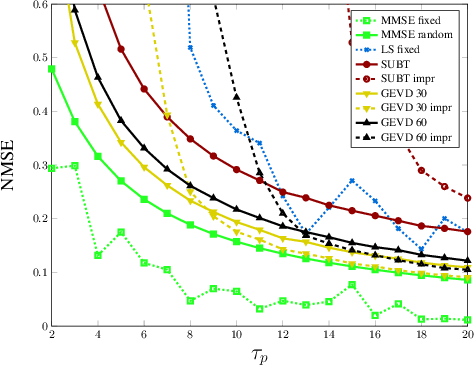
Abstract:Uplink channel estimation is a crucial component for the performance of cellular massive MIMO systems. However, when the number of user equipments (UEs) grows, the sharing of the available resources causes interference between UEs in neighboring cells. Minimum mean squared error (MMSE) channel estimators have been proposed to mitigate this interference, but these require estimates of the channel covariance matrices. Therefore, a new channel covariance matrix estimator for low-rank channel covariance matrices is presented in this paper, using a generalized eigenvalue decomposition (GEVD) of two covariance matrices that can be estimated from the available uplink data. The requirements for the systems are minimal and, except for synchronization, there is no need for communication between the different cells and no prior knowledge on the background noise is required. Approximate MMSE estimators are also derived based on the newly proposed channel covariance matrix estimator. The effectiveness of the proposed methods is demonstrated in numerical simulations.




Abstract:We inspect the long-term learning ability of Long Short-Term Memory language models (LSTM LMs) by evaluating a contextual extension based on the Continuous Bag-of-Words (CBOW) model for both sentence- and discourse-level LSTM LMs and by analyzing its performance. We evaluate on text and speech. Sentence-level models using the long-term contextual module perform comparably to vanilla discourse-level LSTM LMs. On the other hand, the extension does not provide gains for discourse-level models. These findings indicate that discourse-level LSTM LMs already rely on contextual information to perform long-term learning.