



Abstract:The modeling and control of complex physical dynamics are essential in real-world problems. We propose a novel framework that is generally applicable to solving PDE-constrained optimal control problems by introducing surrogate models for PDE solution operators with special regularizers. The procedure of the proposed framework is divided into two phases: solution operator learning for PDE constraints (Phase 1) and searching for optimal control (Phase 2). Once the surrogate model is trained in Phase 1, the optimal control can be inferred in Phase 2 without intensive computations. Our framework can be applied to both data-driven and data-free cases. We demonstrate the successful application of our method to various optimal control problems for different control variables with diverse PDE constraints from the Poisson equation to Burgers' equation.




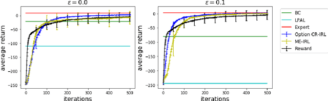
Abstract:Reinforcement learning with complex tasks is a challenging problem. Often, expert demonstrations of complex multitasking operations are required to train agents. However, it is difficult to design a reward function for given complex tasks. In this paper, we solve a hierarchical inverse reinforcement learning (IRL) problem within the framework of options. A gradient method for parametrized options is used to deduce a defining equation for the Q-feature space, which leads to a reward feature space. Using a second-order optimality condition for option parameters, an optimal reward function is selected. Experimental results in both discrete and continuous domains confirm that our segmented rewards provide a solution to the IRL problem for multitasking operations and show good performance and robustness against the noise created by expert demonstrations.