Abstract:This paper employs a fully adaptive and semi-adaptive frequency sweep algorithm using the Loewner matrix-based state model for the electromagnetic simulation. The proposed algorithms use two Loewner matrix models with different or the same orders with small frequency perturbation for adaptive frequency selection. The error between the two models is calculated in each iteration, and the next frequency points are selected to minimize maximum error. With the help of memory, the algorithm terminates when the error between the model and the simulation result is reached within the specified error tolerance. In the fully adaptive frequency sweep algorithm, the method starts with the minimum and maximum frequency of simulation. In the semi-adaptive algorithm, a novel approach has been proposed to determine the initial number of frequency points necessary for system interpolation based on the electrical size of the structure. The proposed algorithms have been compared with the Stoer-Bulirsch algorithm and Pradovera's minimal sampling algorithm for electromagnetic simulation. Four examples are presented using MATLAB R2024b. The results show that the proposed methods offer better performance in terms of speed, accuracy and the requirement of the minimum number of frequency samples. The proposed method shows remarkable consistency with full-wave simulation data, and the algorithm can be effectively applicable to electromagnetic simulations.
Abstract:In this work, the problem of characteristic mode analysis using eigendecomposition of the method of moments impedance matrix has been simplified using the eigen-subspace approach. The idea behind the eigen-subspace arises from the physical properties of antenna or scatterers, where only a few eigenmodes are enough to characterize the antenna or scatterer. Therefore, entire space eigenanalysis is a waste of computational resources, and eigen-subspace analysis with few modes is good enough to characterize antennas and scatterers. It has been assumed that there is an eigen-subspace (or hyperplane) of coupled characteristic mode, which coincides with the eigen-hyperplane of uncoupled characteristic mode. We can say the coupled characteristic modes are linear combinations of isolated modes based on this assumption. The linear combination is mapped via modal coupling matrix. Using the modal coupling matrix, we can explain the behavior of arbitrarily shaped antennas and scatterers. A computationally efficient method is developed to compute coupled characteristic modes of two mutually coupled scatterers or antennas using the eigen-subspace. The method is summarized as a theorem of two-body coupled characteristic mode. The theorem of two-body coupled characteristic mode has been extended to the N-body coupled characteristic mode. Two algorithms have been developed for the two-body multimode coupled characteristic mode and N-body multimode coupled characteristic mode. Two numerical examples are provided to validate the proposed concepts.




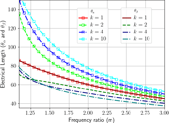
Abstract:This paper provides the design guidelines for a dual-band rat-race coupler and Gysel power divider with two different amplitude imbalances. The dual-band conditions are established based on the electrical nature of the coupler and dual-band C-section coupled lines/ T-structure/ $\Pi$-structures instead of using the dual-band equivalent transmission lines. It has been shown here that the same design equations can be utilized in the design of the rat-race coupler and Gysel power divider. The design equations are solved numerically to obtain the electrical parameters of the proposed coupler and power divider. The possible application of dual-band different power division ratios is presented for dual-band polarization controlled by a patch antenna. A design tool has been developed to obtain the coupler and power divider's design parameters and circuit analysis results. A design example of the coupler has been provided to validate the proposed concept.