Abstract:Wideband orthogonal frequency-division multiplexing (OFDM) over extremely large-scale MIMO (XL-MIMO) arrays in the near-field Fresnel regime suffers from a coupled beam-squint and wavefront-curvature effect that renders single-frequency covariance models severely biased: the per-subcarrier compressed covariance diverges from the center-frequency model by 64\% at $B = 100$~MHz and by 177\% at $B = 400$~MHz. We derive the wideband compressed-domain Cramér--Rao bound (CRB) for hybrid analog--digital architectures and decompose the Fisher information gain into a dominant data-diversity term that scales as $10\log_{10}K_s$~dB and a secondary geometric-diversity term arising from frequency-dependent curvature. At 28~GHz with $M = 256$ antennas, $N_\mathrm{RF} = 16$ RF chains, and $K_s = 512$ subcarriers, wideband processing yields $+27.8$~dB of CRB improvement at $B = 400$~MHz, of which $+0.7$~dB is attributable to geometric diversity.
Abstract:Near-field propagation in extremely large aperture arrays requires joint angle-range estimation. In hybrid architectures, only $N_\mathrm{RF}\ll M$ compressed snapshots are available per slot, making the $N_\mathrm{RF}\times N_\mathrm{RF}$ compressed sample covariance the natural sufficient statistic. We propose the Curvature-Learning KL (CL-KL) estimator, which grids only the angle dimension and \emph{learns the per-angle inverse range} directly from the compressed covariance via KL divergence minimisation. CL-KL uses a $Q_θ$-element dictionary instead of the $Q_θQ_r$ atoms of 2-D polar gridding, eliminating the range-dimension dictionary coherence that plagues polar codebooks in the strong near-field regime, and operates entirely on the compressed covariance for full compatibility with hybrid front-ends. At $N_\mathrm{MC}=400$ ($f_c=28$~GHz, $M=64$, $N_\mathrm{RF}=8$, $N=64$, $d=3$, $r\in[0.05,1.0]\,r_\mathrm{RD}$), CL-KL achieves the lowest channel NMSE among all six evaluated methods -- including four full-array baselines using $64\times$ more data -- at $\mathrm{SNR}\in\{-5,0,+5,+10\}$~dB. Running in approximately 70~ms per trial (vs.\ 5~ms for the compressed-domain peer P-SOMP), CL-KL's dominant cost is the $N_\mathrm{RF}{\times}N_\mathrm{RF}$ inversion rather than $M$: measured runtime stays near 70~ms across $M\in\{32,64,128,256\}$, making it aperture-scalable for XL-MIMO deployments. CL-KL is further validated against a derived compressed-domain Cramér-Rao bound and confirmed robust to non-Gaussian (QPSK) source distributions, with a maximum NMSE gap below 0.6~dB.
Abstract:This paper considers the channel estimation of a single user in a MISO system with an intelligent reflecting surface (IRS). The performances of the minimum variance unbiased (MVU) and minimum mean square error (MMSE) estimators using the discrete Fourier transform activation pattern for the IRS, updated at every symbol interval, are compared. Numerical results show that the MMSE estimator provides over 10 dB SNR improvement compared to the MVU estimator.




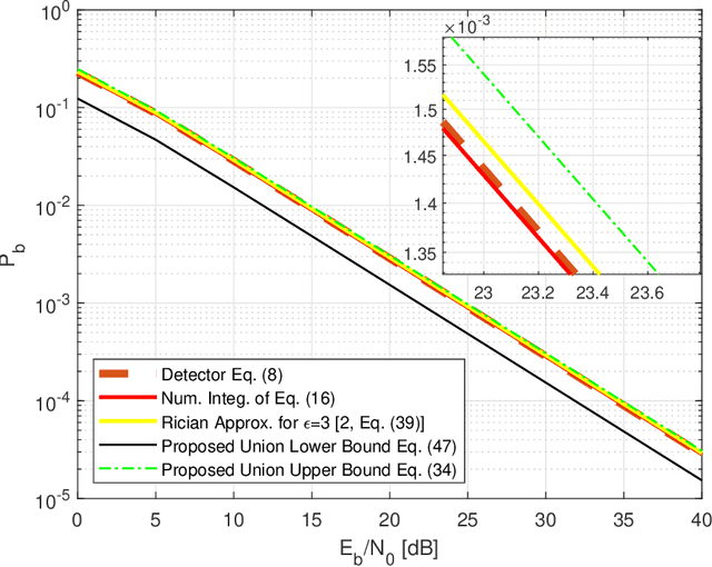
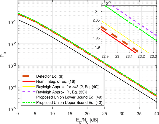
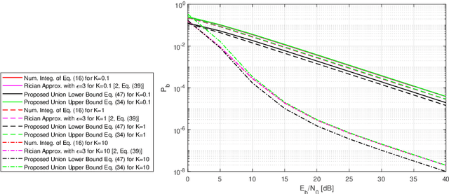
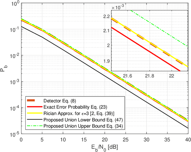
Abstract:In this paper the symbol error performance of LoRa modulation is addressed for flat Rician block fading channels. First the exact symbol error probability of the LoRa modulation on Rician fading is derived. Then the upper and lower union bounds are employed on the derived symbol error probability. The proposed bounds are compared against the exact symbol error probability, the numerical evaluation of the symbol error probability and the state-of-art approximation of the LoRa symbol error probability. Numerical results show that while the proposed upper bound is very tight to the exact symbol error probability, there is approximately a 2.5 dB gap for the lower bound.



Abstract:As dense low Earth orbit (LEO) constellations are being planned, the need for accurate synchronization schemes in high-speed environments remains a challenging problem to tackle. To further improve synchronization accuracy in channeling environments, which can also be applied in the LEO networks, we present a new method for estimating the carrier frequency offset (CFO) and frame misalignment in orthogonal frequency division multiplexing (OFDM) based inter-satellite links. The proposed method requires the transmission of pilot symbols to exploit 2-D estimation of signal parameters via rotational invariance techniques (ESPRIT) and estimate the CFO and the frame misalignment. The Cramer-Rao lower bounds (CRLB) of the joint estimation of the CFO and frame misalignment are also derived. Numerical results show that the difference between the proposed method and the state-of-art method is less than 5dB at its worse.