



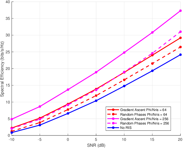
Abstract:Reconfigurable Intelligent Surfaces (RIS) are passive or semi-passive heterogeneous metasurfaces and consist of many tunable elements. RIS is gaining momentum as a promising new technology to enable transforming the propagation environment into controllable parameters. In this paper, we investigate the co-design of per-subcarrier power allocation matrices and multielement RIS phase shifts in downlink wideband MIMO transmission using 28 GHz frequency bands. Our contributions in improving RIS-aided links include (1) enhanced system modeling with pathloss and blockage modeling, and uniform rectangular array (URA) design, (2) design of gradient ascent co-design algorithm, and (3) asymptotic (Big O) complexity analysis of proposed algorithm and runtime complexity evaluation.




Abstract:A critical aspect of reliable communication involves the design of codes that allow transmissions to be robustly and computationally efficiently decoded under noisy conditions. Advances in the design of reliable codes have been driven by coding theory and have been sporadic. Recently, it is shown that channel codes that are comparable to modern codes can be learned solely via deep learning. In particular, Turbo Autoencoder (TURBOAE), introduced by Jiang et al., is shown to achieve the reliability of Turbo codes for Additive White Gaussian Noise channels. In this paper, we focus on applying the idea of TURBOAE to various practical channels, such as fading channels and chirp noise channels. We introduce TURBOAE-TI, a novel neural architecture that combines TURBOAE with a trainable interleaver design. We develop a carefully-designed training procedure and a novel interleaver penalty function that are crucial in learning the interleaver and TURBOAE jointly. We demonstrate that TURBOAE-TI outperforms TURBOAE and LTE Turbo codes for several channels of interest. We also provide interpretation analysis to better understand TURBOAE-TI.