



Abstract:The interdependence and high dimensionality of multivariate signals present significant challenges for denoising, as conventional univariate methods often struggle to capture the complex interactions between variables. A successful approach must consider not only the multivariate dependencies of the desired signal but also the multivariate dependencies of the interfering noise. In our previous research, we introduced a method using machine learning to extract the maximum portion of ``predictable information" from univariate signal. We extend this approach to multivariate signals, with the key idea being to properly incorporate the interdependencies of the noise back into the interdependent reconstruction of the signal. The method works successfully for various multivariate signals, including chaotic signals and highly oscillating sinusoidal signals which are corrupted by spatially correlated intensive noise. It consistently outperforms other existing multivariate denoising methods across a wide range of scenarios.




Abstract:Removing noise from a signal without knowing the characteristics of the noise is a challenging task. This paper introduces a signal-noise separation method based on time series prediction. We use Reservoir Computing (RC) to extract the maximum portion of "predictable information" from a given signal. Reproducing the deterministic component of the signal using RC, we estimate the noise distribution from the difference between the original signal and reconstructed one. The method is based on a machine learning approach and requires no prior knowledge of either the deterministic signal or the noise distribution. It provides a way to identify additivity/multiplicativity of noise and to estimate the signal-to-noise ratio (SNR) indirectly. The method works successfully for combinations of various signal and noise, including chaotic signal and highly oscillating sinusoidal signal which are corrupted by non-Gaussian additive/ multiplicative noise. The separation performances are robust and notably outstanding for signals with strong noise, even for those with negative SNR.




Abstract:Spike-timing-dependent plasticity (STDP) is a biological process in which the precise order and timing of neuronal spikes affect the degree of synaptic modification. While there has been numerous research focusing on the role of STDP in neural coding, the functional implications of STDP at the macroscopic level in the brain have not been fully explored yet. In this work, we propose that STDP in an ensemble of spiking neurons renders storing high dimensional information in the form of a `memory plane'. Neural activity based on STDP transforms periodic spatio-temporal input patterns into the corresponding memory plane, where the stored information can be dynamically revived with a proper cue. Using the dynamical systems theory that shows the analytic relation between the input and the memory plane, we were able to demonstrate a specific memory process for high-dimensional associative data sets. In the auto-associative memory task, a group of images that were continuously streamed to the system can be retrieved from the oscillating neural state. The second application deals with the process of semantic memory components that are embedded from sentences. The results show that words can recall multiple sentences simultaneously or one exclusively, depending on their grammatical relations. This implies that the proposed framework is apt to process multiple groups of associative memories with a composite structure.




Abstract:Reservoir computing(RC) is a brain-inspired computing framework that employs a transient dynamical system whose reaction to an input signal is transformed to a target output. One of the central problems in RC is to find a reliable reservoir with a large criticality, since computing performance of a reservoir is maximized near the phase transition. In this work, we propose a continuous reservoir that utilizes transient dynamics of coupled chaotic oscillators in a critical regime where sudden amplitude death occurs. This "explosive death" not only brings the system a large criticality which provides a variety of orbits for computing, but also stabilizes them which otherwise diverge soon in chaotic units. The proposed framework shows better results in tasks for signal reconstructions than RC based on explosive synchronization of regular phase oscillators. We also show that the information capacity of the reservoirs can be used as a predictive measure for computational capability of a reservoir at a critical point.




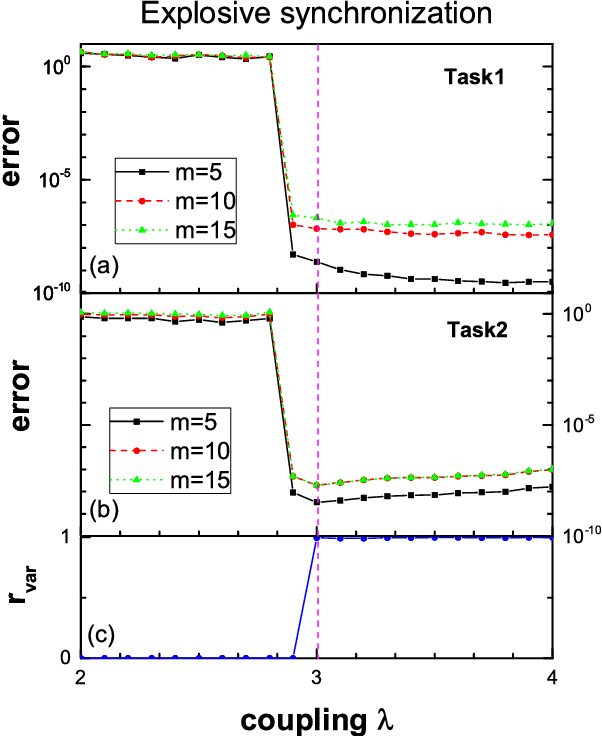
Abstract:Synchronous oscillations in neuronal ensembles have been proposed to provide a neural basis for the information processes in the brain. In this work, we present a neuromorphic computing algorithm based on oscillator synchronization in a critical regime. The algorithm uses the high dimensional transient dynamics perturbed by an input and translates it into proper output stream. One of the benefits of adopting coupled phase oscillators as neuromorphic elements is that the synchrony among oscillators can be finely tuned at a critical state. Especially near a critical state, the marginally synchronized oscillators operate with high efficiency and maintain better computing performances. We also show that explosive synchronization which is induced from specific neuronal connectivity produces more improved and stable outputs. This work provides a systematic way to encode computing in a large size coupled oscillators, which may be useful in designing neuromorphic devices.