


Abstract:We propose to demonstrate a network slice placement optimization solution based on Deep Reinforcement Learning (DRL), referred to as Heuristically-controlled DRL, which uses a heuristic to control the DRL algorithm convergence. The solution is adapted to realistic networks with large scale and under non-stationary traffic conditions (namely, the network load). We demonstrate the applicability of the proposed solution and its higher and stable performance over a non-controlled DRL-based solution. Demonstration scenarios include full online learning with multiple volatile network slice placement request arrivals.




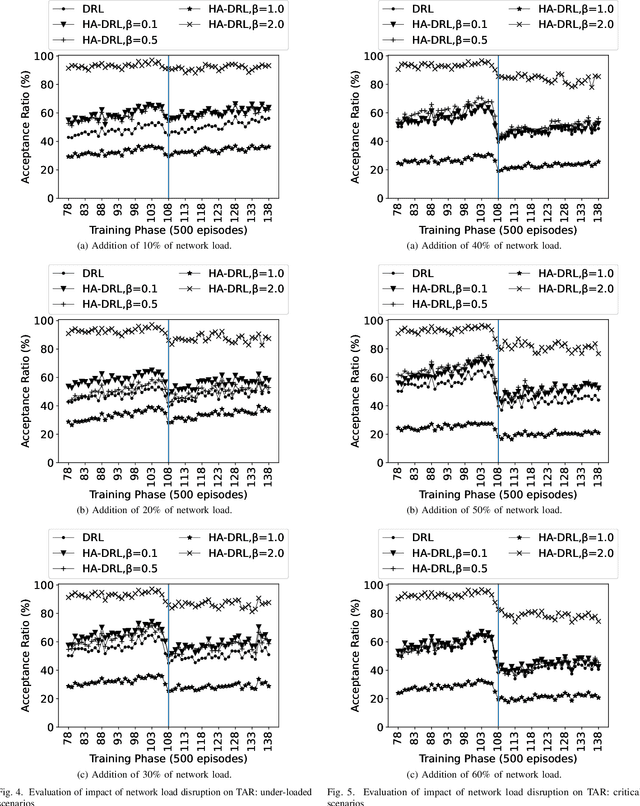
Abstract:The evaluation of the impact of using Machine Learning in the management of softwarized networks is considered in multiple research works. Beyond that, we propose to evaluate the robustness of online learning for optimal network slice placement. A major assumption to this study is to consider that slice request arrivals are non-stationary. In this context, we simulate unpredictable network load variations and compare two Deep Reinforcement Learning (DRL) algorithms: a pure DRL-based algorithm and a heuristically controlled DRL as a hybrid DRL-heuristic algorithm, to assess the impact of these unpredictable changes of traffic load on the algorithms performance. We conduct extensive simulations of a large-scale operator infrastructure. The evaluation results show that the proposed hybrid DRL-heuristic approach is more robust and reliable in case of unpredictable network load changes than pure DRL as it reduces the performance degradation. These results are follow-ups for a series of recent research we have performed showing that the proposed hybrid DRL-heuristic approach is efficient and more adapted to real network scenarios than pure DRL.




Abstract:We consider online learning for optimal network slice placement under the assumption that slice requests arrive according to a non-stationary Poisson process. We propose a framework based on Deep Reinforcement Learning (DRL) combined with a heuristic to design algorithms. We specifically design two pure-DRL algorithms and two families of hybrid DRL-heuristic algorithms. To validate their performance, we perform extensive simulations in the context of a large-scale operator infrastructure. The evaluation results show that the proposed hybrid DRL-heuristic algorithms require three orders of magnitude of learning episodes less than pure-DRL to achieve convergence. This result indicates that the proposed hybrid DRL-heuristic approach is more reliable than pure-DRL in a real non-stationary network scenario.




Abstract:We present a hybrid ML-heuristic approach that we name "Heuristically Assisted Deep Reinforcement Learning (HA-DRL)" to solve the problem of Network Slice Placement Optimization. The proposed approach leverages recent works on Deep Reinforcement Learning (DRL) for slice placement and Virtual Network Embedding (VNE) and uses a heuristic function to optimize the exploration of the action space by giving priority to reliable actions indicated by an efficient heuristic algorithm. The evaluation results show that the proposed HA-DRL algorithm can accelerate the learning of an efficient slice placement policy improving slice acceptance ratio when compared with state-of-the-art approaches that are based only on reinforcement learning.




Abstract:Network Slice placement with the problem of allocation of resources from a virtualized substrate network is an optimization problem which can be formulated as a multiobjective Integer Linear Programming (ILP) problem. However, to cope with the complexity of such a continuous task and seeking for optimality and automation, the use of Machine Learning (ML) techniques appear as a promising approach. We introduce a hybrid placement solution based on Deep Reinforcement Learning (DRL) and a dedicated optimization heuristic based on the Power of Two Choices principle. The DRL algorithm uses the so-called Asynchronous Advantage Actor Critic (A3C) algorithm for fast learning, and Graph Convolutional Networks (GCN) to automate feature extraction from the physical substrate network. The proposed Heuristically-Assisted DRL (HA-DRL) allows to accelerate the learning process and gain in resource usage when compared against other state-of-the-art approaches as the evaluation results evidence.




Abstract:We introduce DeepMoD, a deep learning based model discovery algorithm which seeks the partial differential equation underlying a spatio-temporal data set. DeepMoD employs sparse regression on a library of basis functions and their corresponding spatial derivatives. A feed-forward neural network approximates the data set and automatic differentiation is used to construct this function library and perform regression within the neural network. This construction makes it extremely robust to noise and applicable to small data sets and, contrary to other deep learning methods, does not require a training set and is impervious to overfitting. We illustrate this approach on several physical problems, such as the Burgers', Korteweg-de Vries, advection-diffusion and Keller-Segel equations, and find that it requires as few as O(10^2) samples and works at noise levels up to 75%. This resilience to noise and high performance at very few samples highlights the potential of this method to be applied on experimental data. Code and examples available at https://github.com/PhIMaL/DeePyMoD.