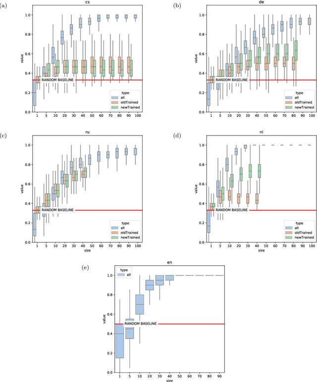
Abstract:Rhyme is deceptively intuitive: what is or is not a rhyme is constructed historically, scholars struggle with rhyme classification, and people disagree on whether two words are rhymed or not. This complicates automated rhymed recognition and evaluation, especially in multilingual context. This article investigates how much training data is needed for reliable unsupervised rhyme recognition using RhymeTagger, a language-independent tool that identifies rhymes based on repeating patterns in poetry corpora. We evaluate its performance across seven languages (Czech, German, English, French, Italian, Russian, and Slovene), examining how training size and language differences affect accuracy. To set a realistic performance benchmark, we assess inter-annotator agreement on a manually annotated subset of poems and analyze factors contributing to disagreement in expert annotations: phonetic similarity between rhyming words and their distance from each other in a poem. We also compare RhymeTagger to three large language models using a one-shot learning strategy. Our findings show that, once provided with sufficient training data, RhymeTagger consistently outperforms human agreement, while LLMs lacking phonetic representation significantly struggle with the task.




Abstract:All poetic forms come from somewhere. Prosodic templates can be copied for generations, altered by individuals, imported from foreign traditions, or fundamentally changed under the pressures of language evolution. Yet these relationships are notoriously difficult to trace across languages and times. This paper introduces an unsupervised method for detecting structural similarities in poems using local sequence alignment. The method relies on encoding poetic texts as strings of prosodic features using a four-letter alphabet; these sequences are then aligned to derive a distance measure based on weighted symbol (mis)matches. Local alignment allows poems to be clustered according to emergent properties of their underlying prosodic patterns. We evaluate method performance on a meter recognition tasks against strong baselines and show its potential for cross-lingual and historical research using three short case studies: 1) mutations in quantitative meter in classical Latin, 2) European diffusion of the Renaissance hendecasyllable, and 3) comparative alignment of modern meters in 18--19th century Czech, German and Russian. We release an implementation of the algorithm as a Python package with an open license.
Abstract:In addition to being a widely recognised novelist, Milan Kundera has also authored three pieces for theatre: The Owners of the Keys (Majitel\'e kl\'i\v{c}\r{u}, 1961), The Blunder (Pt\'akovina, 1967), and Jacques and his Master (Jakub a jeho p\'an, 1971). In recent years, however, the hypothesis has been raised that Kundera is the true author of a fourth play: Juro J\'ano\v{s}\'ik, first performed in a 1974 production under the name of Karel Steigerwald, who was Kundera's student at the time. In this study, we make use of supervised machine learning to settle the question of authorship attribution in the case of Juro J\'ano\v{s}\'ik, with results strongly supporting the hypothesis of Kundera's authorship.




Abstract:Recent advances in cultural analytics and large-scale computational studies of art, literature and film often show that long-term change in the features of artistic works happens gradually. These findings suggest that conservative forces that shape creative domains might be underestimated. To this end, we provide the first large-scale formal evidence of the persistent association between poetic meter and semantics in 18-19th European literatures, using Czech, German and Russian collections with additional data from English poetry and early modern Dutch songs. Our study traces this association through a series of clustering experiments using the abstracted semantic features of 150,000 poems. With the aid of topic modeling we infer semantic features for individual poems. Texts were also lexically simplified across collections to increase generalizability and decrease the sparseness of word frequency distributions. Topics alone enable recognition of the meters in each observed language, as may be seen from highly robust clustering of same-meter samples (median Adjusted Rand Index between 0.48 and 1). In addition, this study shows that the strength of the association between form and meaning tends to decrease over time. This may reflect a shift in aesthetic conventions between the 18th and 19th centuries as individual innovation was increasingly favored in literature. Despite this decline, it remains possible to recognize semantics of the meters from past or future, which suggests the continuity of semantic traditions while also revealing the historical variability of conditions across languages. This paper argues that distinct metrical forms, which are often copied in a language over centuries, also maintain long-term semantic inertia in poetry. Our findings, thus, highlight the role of the formal features of cultural items in influencing the pace and shape of cultural evolution.




Abstract:The versified play Henry VIII is nowadays widely recognized to be a collaborative work not written solely by William Shakespeare. We employ combined analysis of vocabulary and versification together with machine learning techniques to determine which authors also took part in the writing of the play and what were their relative contributions. Unlike most previous studies, we go beyond the attribution of particular scenes and use the rolling attribution approach to determine the probabilities of authorship of pieces of texts, without respecting the scene boundaries. Our results highly support the canonical division of the play between William Shakespeare and John Fletcher proposed by James Spedding, but also bring new evidence supporting the modifications proposed later by Thomas Merriam.