



Abstract:We introduce a new spectral method for image segmentation that incorporates long range relationships for global appearance modeling. The approach combines two different graphs, one is a sparse graph that captures spatial relationships between nearby pixels and another is a dense graph that captures pairwise similarity between all pairs of pixels. We extend the spectral method for Normalized Cuts to this setting by combining the transition matrices of Markov chains associated with each graph. We also derive an efficient method that uses importance sampling for sparsifying the dense graph of appearance relationships. This leads to a practical algorithm for segmenting high-resolution images. The resulting method can segment challenging images without any filtering or pre-processing.




Abstract:We describe a general framework for probabilistic modeling of complex scenes and inference from ambiguous observations. The approach is motivated by applications in image analysis and is based on the use of priors defined by stochastic grammars. We define a class of grammars that capture relationships between the objects in a scene and provide important contextual cues for statistical inference. The distribution over scenes defined by a probabilistic scene grammar can be represented by a graphical model and this construction can be used for efficient inference with loopy belief propagation. We show experimental results with two different applications. One application involves the reconstruction of binary contour maps. Another application involves detecting and localizing faces in images. In both applications the same framework leads to robust inference algorithms that can effectively combine local information to reason about a scene.
Abstract:We consider a problem that involves finding similar elements in a collection of sets. The problem is motivated by applications in machine learning and pattern recognition. We formulate the similar elements problem as an optimization and give an efficient approximation algorithm that finds a solution within a factor of 2 of the optimal. The similar elements problem is a special case of the metric labeling problem and we also give an efficient 2-approximation algorithm for the metric labeling problem on complete graphs.




Abstract:We define two algorithms for propagating information in classification problems with pairwise relationships. The algorithms are based on contraction maps and are related to non-linear diffusion and random walks on graphs. The approach is also related to message passing algorithms, including belief propagation and mean field methods. The algorithms we describe are guaranteed to converge on graphs with arbitrary topology. Moreover they always converge to a unique fixed point, independent of initialization. We prove that the fixed points of the algorithms under consideration define lower-bounds on the energy function and the max-marginals of a Markov random field. The theoretical results also illustrate a relationship between message passing algorithms and value iteration for an infinite horizon Markov decision process. We illustrate the practical application of the algorithms under study with numerical experiments in image restoration, stereo depth estimation and binary classification on a grid.




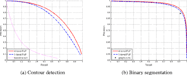
Abstract:We describe a framework for defining high-order image models that can be used in a variety of applications. The approach involves modeling local patterns in a multiscale representation of an image. Local properties of a coarsened image reflect non-local properties of the original image. In the case of binary images local properties are defined by the binary patterns observed over small neighborhoods around each pixel. With the multiscale representation we capture the frequency of patterns observed at different scales of resolution. This framework leads to expressive priors that depend on a relatively small number of parameters. For inference and learning we use an MCMC method for block sampling with very large blocks. We evaluate the approach with two example applications. One involves contour detection. The other involves binary segmentation.




Abstract:We consider object detection using a generic model for natural shapes. A common approach for object recognition involves matching object models directly to images. Another approach involves building intermediate representations via a generic grouping processes. We argue that these two processes (model-based recognition and grouping) may use similar computational mechanisms. By defining a generic model for shapes we can use model-based techniques to implement a mid-level vision grouping process.