Abstract:Existing active strategies for training surrogate models yield accurate structural reliability estimates by aiming at design space regions in the vicinity of a specified limit state function. In many practical engineering applications, various damage conditions, e.g. repair, failure, should be probabilistically characterized, thus demanding the estimation of multiple performance functions. In this work, we investigate the capability of active learning approaches for efficiently selecting training samples under a limited computational budget while still preserving the accuracy associated with multiple surrogated limit states. Specifically, PC-Kriging-based surrogate models are actively trained considering a variance correction derived from leave-one-out cross-validation error information, whereas the sequential learning scheme relies on U-function-derived metrics. The proposed active learning approaches are tested in a highly nonlinear structural reliability setting, whereas in a more practical application, failure and repair events are stochastically predicted in the aftermath of a ship collision against an offshore wind substructure. The results show that a balanced computational budget administration can be effectively achieved by successively targeting the specified multiple limit state functions within a unified active learning scheme.




Abstract:Offshore wind structures are subject to deterioration mechanisms throughout their operational lifetime. Even if the deterioration evolution of structural elements can be estimated through physics-based deterioration models, the uncertainties involved in the process hurdle the selection of lifecycle management decisions. In this scenario, the collection of relevant information through an efficient monitoring system enables the reduction of uncertainties, ultimately driving more optimal lifecycle decisions. However, a full monitoring instrumentation implemented on all wind turbines in a farm might become unfeasible due to practical and economical constraints. Besides, certain load monitoring systems often become defective after a few years of marine environment exposure. Addressing the aforementioned concerns, a farm-wide virtual load monitoring scheme directed by a fleet-leader wind turbine offers an attractive solution. Fetched with data retrieved from a fully-instrumented wind turbine, a model can be trained and then deployed, thus yielding load predictions of non-fully monitored wind turbines, from which only standard data remains available. In this paper, we propose a virtual load monitoring framework formulated via Bayesian neural networks (BNNs) and we provide relevant implementation details needed for the construction, training, and deployment of BNN data-based virtual monitoring models. As opposed to their deterministic counterparts, BNNs intrinsically announce the uncertainties associated with generated load predictions and allow to detect inaccurate load estimations generated for non-fully monitored wind turbines. The proposed virtual load monitoring is thoroughly tested through an experimental campaign in an operational offshore wind farm and the results demonstrate the effectiveness of BNN models for fleet-leader-based farm-wide virtual monitoring.




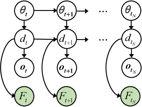
Abstract:Civil and maritime engineering systems, among others, from bridges to offshore platforms and wind turbines, must be efficiently managed as they are exposed to deterioration mechanisms throughout their operational life, such as fatigue or corrosion. Identifying optimal inspection and maintenance policies demands the solution of a complex sequential decision-making problem under uncertainty, with the main objective of efficiently controlling the risk associated with structural failures. Addressing this complexity, risk-based inspection planning methodologies, supported often by dynamic Bayesian networks, evaluate a set of pre-defined heuristic decision rules to reasonably simplify the decision problem. However, the resulting policies may be compromised by the limited space considered in the definition of the decision rules. Avoiding this limitation, Partially Observable Markov Decision Processes (POMDPs) provide a principled mathematical methodology for stochastic optimal control under uncertain action outcomes and observations, in which the optimal actions are prescribed as a function of the entire, dynamically updated, state probability distribution. In this paper, we combine dynamic Bayesian networks with POMDPs in a joint framework for optimal inspection and maintenance planning, and we provide the formulation for developing both infinite and finite horizon POMDPs in a structural reliability context. The proposed methodology is implemented and tested for the case of a structural component subject to fatigue deterioration, demonstrating the capability of state-of-the-art point-based POMDP solvers for solving the underlying planning optimization problem. Within the numerical experiments, POMDP and heuristic-based policies are thoroughly compared, and results showcase that POMDPs achieve substantially lower costs as compared to their counterparts, even for traditional problem settings.