



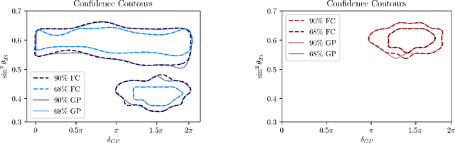
Abstract:Neutrino oscillation study involves inferences from tiny samples of data which have complicated dependencies on multiple oscillation parameters simultaneously. This is typically carried out using the unified approach of Feldman and Cousins which is very computationally expensive, on the order of tens of millions of CPU hours. In this work, we propose an iterative method using Gaussian Process to efficiently find a confidence contour for the oscillation parameters and show that it produces the same results at a fraction of the computation cost.