Abstract:A wireless communication system is studied that operates in the presence of multiple reconfigurable intelligent surfaces (RISs). In particular, a multi-operator environment is considered where each operator utilizes an RIS to enhance its communication quality. Although out-of-band interference does not exist (since each operator uses isolated spectrum resources), RISs controlled by different operators do affect the system performance of one another due to the inherently rapid phase shift adjustments that occur on an independent basis. The system performance of such a communication scenario is analytically studied for the practical case where discrete-only phase shifts occur at RIS. The proposed framework is quite general since it is valid under arbitrary channel fading conditions as well as the presence (or not) of the transceiver's direct link. Finally, the derived analytical results are verified via numerical and simulation trial as well as some novel and useful engineering outcomes are manifested.
Abstract:Level crossing rate (LCR) is a well-known statistical tool that is related to the duration of a random stationary fading process \emph{on average}. In doing so, LCR cannot capture the behavior of \emph{extremely rare} random events. Nonetheless, the latter events play a key role in the performance of ultra-reliable and low-latency communication systems rather than their average (expectation) counterparts. In this paper, for the first time, we extend the notion of LCR to address this issue and sufficiently characterize the statistical behavior of extreme maxima or minima. This new indicator, entitled as extreme LCR (ELCR), is analytically introduced and evaluated by resorting to the extreme value theory and risk assessment. Capitalizing on ELCR, some key performance metrics emerge, i.e., the maximum outage duration, minimum effective duration, maximum packet error rate, and maximum transmission delay. They are all derived in simple closed-form expressions. The theoretical results are cross-compared and verified via extensive simulations whereas some useful engineering insights are manifested.




Abstract:A multiple-input multiple-output wireless communication system is analytically studied, which operates with the aid of a large-scale reconfigurable intelligent surface (LRIS). LRIS is equipped with multiple passive elements with discrete phase adjustment capabilities, and independent Rician fading conditions are assumed for both the transmitter-to-LRIS and LRIS-to-receiver links. A direct transceiver link is also considered which is modeled by Rayleigh fading distribution. The system performance is analytically studied when the linear yet efficient zero-forcing detection is implemented at the receiver. In particular, the outage performance is derived in closed-form expression for different system configuration setups with regards to the available channel state information (CSI) at the receiver. In fact, the case of both perfect and imperfect CSI is analyzed. Also, an efficient phase shift design approach at LRIS is introduced, which is linear on the number of passive elements and receive antennas. The proposed phase shift design can be applied on two different modes of operation; namely, when the system strives to adapt either on the instantaneous or statistical CSI. Finally, some impactful engineering insights are provided, such as how the channel fading conditions, CSI, discrete phase shift resolution, and volume of antenna/LRIS element arrays impact on the overall system performance.




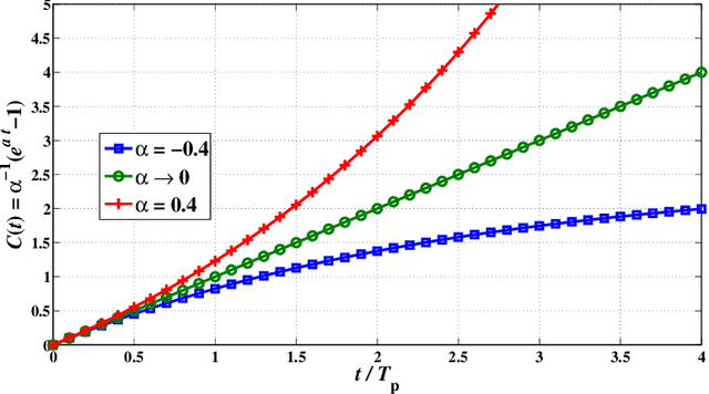
Abstract:The age of information (AoI) performance metric for point-to-point wireless communication systems is analytically studied under Rician-faded channels and when the receiver is equipped with multiple antennas. The general scenario of a non-linear AoI function is considered, which includes the conventional linear AoI as a special case. The stop-and-wait transmission policy is adopted, where the source node samples and then transmits new data only upon the successful reception of previous data. This approach can serve as a performance benchmark for any queuing system used in practice. New analytical and closed-form expressions are derived with respect to the average AoI and average peak AoI for the considered system configuration. We particularly focus on the energy efficiency of the said mode of operation, whereas some useful engineering insights are provided.