Abstract:This paper proposes a narrowband fully-analog $N$-antenna transmitter that emulates the functionality of a narrowband fully-digital $N$-antenna transmitter. Specifically, in symbol interval $m$, the proposed fully-analog transmitter synthesizes an arbitrary complex excitation vector $\bm x[m]\in\mathbb{C}^N$ with prescribed total power $\|\bm x[m]\|_2^2=P$ from a single coherent RF tone, using only tunable phase-control elements embedded in a passive interferometric programmable network. The programmable network is excited through one input port while the remaining $N - 1$ input ports are impedance matched. In the ideal lossless case, the network transfer is unitary and therefore redistributes RF power among antenna ports without dissipative amplitude control. The synthesis task is posed as a unitary state-preparation problem: program a unitary family so that $\bm V(\bm\varphi)\bm e_1=\bm c$, where $\bm c=\bm x/\sqrt{P}$ and $\|\bm c\|_2=1$. We provide a constructive realization and a closed-form programming rule: a binary magnitude-splitting tree allocates the desired per-antenna magnitudes $|c_n|$ using $N -1$ tunable split ratios, and a per-antenna output phase bank assigns the target phases using $N$ tunable phase shifts. The resulting architecture uses $2N-1$ real tunable degrees of freedom and admits a deterministic $O(N)$ programming procedure with no iterative optimization, enabling symbol-by-symbol updates when the chosen phase-control technology supports the required tuning speed. Using representative COTS components, we model the RF-front-end DC power of the proposed fully-analog transmitter and compare it against an equivalent COTS fully-digital array. For $N\le 16$, the comparison indicates significant RF-front-end power savings for the fully-analog architecture. The results in this paper are intended as a proof-of-concept for a narrowband fully-analog transmitter.



Abstract:We present a method for upper and lower bounding the right and the left tail probabilities of continuous random variables (RVs). For the right tail probability of RV $X$ with probability density function $f_X(x)$, this method requires first setting a continuous, positive, and strictly decreasing function $g_X(x)$ such that $-f_X(x)/g'_X(x)$ is a decreasing and increasing function, $\forall x>x_0$, which results in upper and lower bounds, respectively, given in the form $-f_X(x) g_X(x)/g'_X(x)$, $\forall x>x_0$, where $x_0$ is some point. Similarly, for the upper and lower bounds on the left tail probability of $X$, this method requires first setting a continuous, positive, and strictly increasing function $g_X(x)$ such that $f_X(x)/g'_X(x)$ is an increasing and decreasing function, $\forall x<x_0$, which results in upper and lower bounds, respectively, given in the form $f_X(x) g_X(x)/g'_X(x)$, $\forall x<x_0$. We provide some examples of good candidates for the function $g_X(x)$. We also establish connections between the new bounds and Markov's inequality and Chernoff's bound. In addition, we provide an iterative method for obtaining ever tighter lower and upper bounds, under certain conditions. Finally, we provide numerical examples, where we show the tightness of these bounds, for some chosen $g_X(x)$.
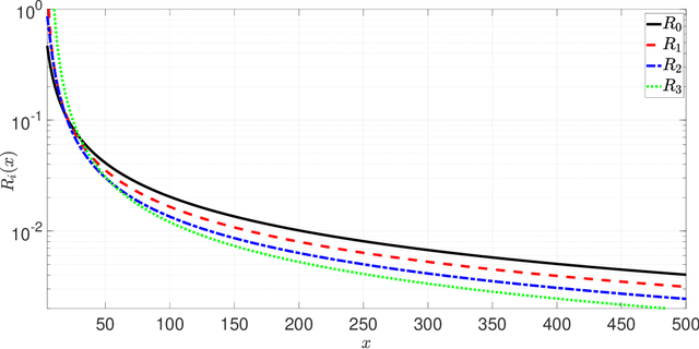
Abstract:In this paper, I present a completely new type of upper and lower bounds on the right-tail probabilities of continuous random variables with unbounded support and with semi-bounded support from the left. The presented upper and lower right-tail bounds depend only on the probability density function (PDF), its first derivative, and two parameters that are used for tightening the bounds. These tail bounds hold under certain conditions that depend on the PDF, its first and second derivatives, and the two parameters. The new tail bounds are shown to be tight for a wide range of continuous random variables via numerical examples.
Abstract:Majority voting is a simple mathematical function that returns the value that appears most often in a set. As a popular decision fusion technique, the majority voting function (MVF) finds applications in resolving conflicts, where a number of independent voters report their opinions on a classification problem. Despite its importance and its various applications in ensemble learning, data crowd-sourcing, remote sensing, and data oracles for blockchains, the accuracy of the MVF for the general multi-class classification problem has remained unknown. In this paper, we derive a new upper bound on the accuracy of the MVF for the multi-class classification problem. More specifically, we show that under certain conditions, the error rate of the MVF exponentially decays toward zero as the number of independent voters increases. Conversely, the error rate of the MVF exponentially grows with the number of independent voters if these conditions are not met. We first explore the problem for independent and identically distributed voters where we assume that every voter follows the same conditional probability distribution of voting for different classes, given the true classification of the data point. Next, we extend our results for the case where the voters are independent but non-identically distributed. Using the derived results, we then provide a discussion on the accuracy of the truth discovery algorithms. We show that in the best-case scenarios, truth discovery algorithms operate as an amplified MVF and thereby achieve a small error rate only when the MVF achieves a small error rate, and vice versa, achieve a large error rate when the MVF also achieves a large error rate. In the worst-case scenario, the truth discovery algorithms may achieve a higher error rate than the MVF. Finally, we confirm our theoretical results using numerical simulations.
Abstract:Millimeter wave (mmWave) communications have a broad spectrum and can support data rates in the order of gigabits per second, as envisioned in 5G systems. However, they cannot be used for long distances due to their sensitivity to attenuation loss. To enable their use in the 5G network, it requires that the transmission energy be focused in sharp pencil beams. As any misalignment between the transmitter and receiver beam pair can reduce the data rate significantly, it is important that they are aligned as much as possible. To find the best transmit-receive beam pair, recent beam alignment (BA) techniques examine the entire beam space, which might result in a large amount of BA latency. Recent works propose to adaptively select the beams such that the cumulative reward measured in terms of received signal strength or throughput is maximized. In this paper, we develop an algorithm that exploits the unimodal structure of the received signal strengths of the beams to identify the best beam in a finite time using pure exploration strategies. Strategies that identify the best beam in a fixed time slot are more suitable for wireless network protocol design than cumulative reward maximization strategies that continuously perform exploration and exploitation. Our algorithm is named Unimodal Bandit for Best Beam (UB3) and identifies the best beam with a high probability in a few rounds. We prove that the error exponent in the probability does not depend on the number of beams and show that this is indeed the case by establishing a lower bound for the unimodal bandits. We demonstrate that UB3 outperforms the state-of-the-art algorithms through extensive simulations. Moreover, our algorithm is simple to implement and has lower computational complexity.




Abstract:The number of connected mobile devices and the amount of data traffic through these devices are expected to grow many-fold in future communication networks. To support the scale of this huge data traffic, more and more base stations and wireless terminals are required to be deployed in existing networks. Nevertheless, practically deploying a large number of base stations having massive antenna arrays will substantially increase the hardware cost and power consumption of the network. A promising approach for enhancing the coverage and rate of wireless communication systems is the large intelligent surface-based transceiver (LISBT), which uses a spatially continuous surface for signal transmission and receiving. A typical LIS consists of a planar array having a large number of reflecting metamaterial elements (e.g., low-cost printed dipoles), each of which could act as a phase shift. It is also considered to be a cost effective and energy efficient solution. Accurate channel state information (CSI) in LISBT-assisted wireless communication systems is critical for achieving these goals. In this paper, we propose a channel estimation scheme based on the physical parameters of the system. that requires only five pilot signals to perfectly estimate the channel parameters assuming there is no noise at the receiver. In the presence of noise, we propose an iterative estimation algorithm that decreases the channel estimation error due to noise. The proposed scheme's training overhead and computational cost do not grow with the number of antennas, unlike previous work on enormous multiple-input multiple-output (MIMO). The channel estimate scheme based on the physical properties of the Large intelligent surface-based transceiver (LISBT)-assisted wireless communication systems is the subject of our future study.




Abstract:Large intelligent surface-based transceivers (LISBTs), in which a spatially continuous surface is being used for signal transmission and reception, have emerged as a promising solution for improving the coverage and data rate of wireless communication systems. To realize these objectives, the acquisition of accurate channel state information (CSI) in LISBT-assisted wireless communication systems is crucial. In this paper, we propose a channel estimation scheme based on a parametric physical channel model for line-of-sight dominated communication in millimeter and terahertz wave bands. The proposed estimation scheme requires only five pilot signals to perfectly estimate the channel parameters assuming there is no noise at the receiver. In the presence of noise, we propose an iterative estimation algorithm that decreases the channel estimation error due to noise. The training overhead and computational cost of the proposed scheme do not scale with the number of antennas. The simulation results demonstrate that the proposed estimation scheme significantly outperforms other benchmark schemes.




Abstract:In this paper, we propose a fairness-aware rate maximization scheme for a wireless powered communications network (WPCN) assisted by an intelligent reflecting surface (IRS). The proposed scheme combines user scheduling based on time division multiple access (TDMA) and (mechanical) angular displacement of the IRS. Each energy harvesting user (EHU) has dedicated time slots with optimized durations for energy harvesting and information transmission whereas, the phase matrix of the IRS is adjusted to focus its beam to a particular EHU. The proposed scheme exploits the fundamental dependence of the IRS channel path-loss on the angle between the IRS and the node's line-of-sight, which is often overlooked in the literature. Additionally, the network design can be optimized for large number of IRS unit cells, which is not the case with the computationally intensive state-of-the-art schemes. In fact, the EHUs can achieve significant rates at practical distances of several tens of meters to the base station (BS) only if the number of IRS unit cells is at least a few thousand.




Abstract:We study wireless power transmission by an energy source to multiple energy harvesting nodes with the aim to maximize the energy efficiency. The source transmits energy to the nodes using one of the available power levels in each time slot and the nodes transmit information back to the energy source using the harvested energy. The source does not have any channel state information and it only knows whether a received codeword from a given node was successfully decoded or not. With this limited information, the source has to learn the optimal power level that maximizes the energy efficiency of the network. We model the problem as a stochastic Multi-Armed Bandits problem and develop an Upper Confidence Bound based algorithm, which learns the optimal transmit power of the energy source that maximizes the energy efficiency. Numerical results validate the performance guarantees of the proposed algorithm and show significant gains compared to the benchmark schemes.




Abstract:In this paper, we propose a classifier for supervised classification of data vectors with mutually independent but non-identically distributed elements. For the proposed classifier, we derive an upper bound on the error probability and show that the error probability goes to zero as the length of the data vectors grows, even when there is only one training data vector per label available. As a result, the proposed classifier is asymptomatically optimal for this type of data vectors. Our numerical examples show that the performance of the proposed classifier outperforms conventional classification algorithms when the number of training data is small and the length of the data vectors is sufficiently high.