



Abstract:In the Humanities and Social Sciences, there is increasing interest in approaches to information extraction, prediction, intelligent linkage, and dimension reduction applicable to large text corpora. With approaches in these fields being grounded in traditional statistical techniques, the need arises for frameworks whereby advanced NLP techniques such as topic modelling may be incorporated within classical methodologies. This paper provides a classical, supervised, statistical learning framework for prediction from text, using topic models as a data reduction method and the topics themselves as predictors, alongside typical statistical tools for predictive modelling. We apply this framework in a Social Sciences context (applied animal behaviour) as well as a Humanities context (narrative analysis) as examples of this framework. The results show that topic regression models perform comparably to their much less efficient equivalents that use individual words as predictors.




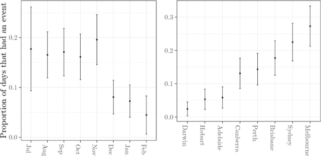
Abstract:The combination of large open data sources with machine learning approaches presents a potentially powerful way to predict events such as protest or social unrest. However, accounting for uncertainty in such models, particularly when using diverse, unstructured datasets such as social media, is essential to guarantee the appropriate use of such methods. Here we develop a Bayesian method for predicting social unrest events in Australia using social media data. This method uses machine learning methods to classify individual postings to social media as being relevant, and an empirical Bayesian approach to calculate posterior event probabilities. We use the method to predict events in Australian cities over a period in 2017/18.