



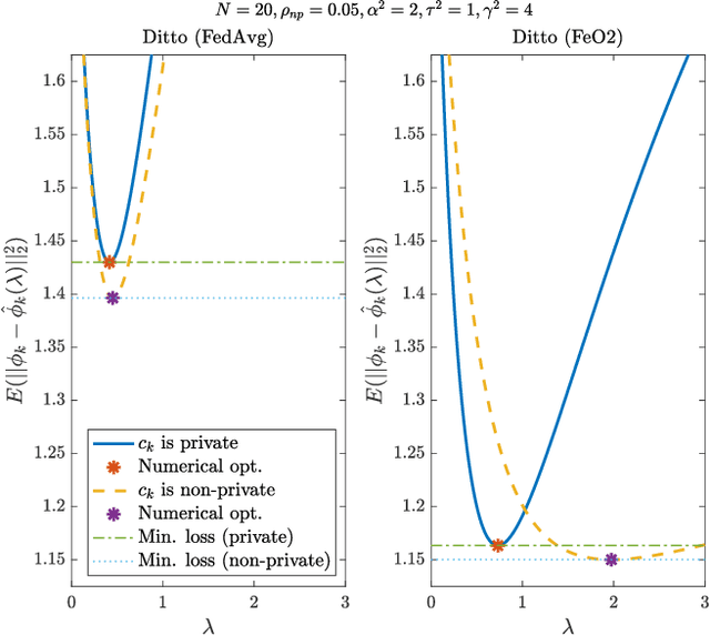
Abstract:Federated learning (FL) is an emerging privacy-preserving paradigm, where a global model is trained at a central server while keeping client data local. However, FL can still indirectly leak private client information through model updates during training. Differential privacy (DP) can be employed to provide privacy guarantees within FL, typically at the cost of degraded final trained model. In this work, we consider a heterogeneous DP setup where clients are considered private by default, but some might choose to opt out of DP. We propose a new algorithm for federated learning with opt-out DP, referred to as \emph{FeO2}, along with a discussion on its advantages compared to the baselines of private and personalized FL algorithms. We prove that the server-side and client-side procedures in \emph{FeO2} are optimal for a simplified linear problem. We also analyze the incentive for opting out of DP in terms of performance gain. Through numerical experiments, we show that \emph{FeO2} provides up to $9.27\%$ performance gain in the global model compared to the baseline DP FL for the considered datasets. Additionally, we show a gap in the average performance of personalized models between non-private and private clients of up to $3.49\%$, empirically illustrating an incentive for clients to opt out.




Abstract:Models trained in machine learning processes may store information about individual samples used in the training process. There are many cases where the impact of an individual sample may need to be deleted and unlearned (i.e., removed) from the model. Retraining the model from scratch after removing a sample from its training set guarantees perfect unlearning, however, it becomes increasingly expensive as the size of training dataset increases. One solution to this issue is utilizing an ensemble learning method that splits the dataset into disjoint shards and assigns them to non-communicating weak learners and then aggregates their models using a pre-defined rule. This framework introduces a trade-off between performance and unlearning cost which may result in an unreasonable performance degradation, especially as the number of shards increases. In this paper, we present a coded learning protocol where the dataset is linearly coded before the learning phase. We also present the corresponding unlearning protocol for the aforementioned coded learning model along with a discussion on the proposed protocol's success in ensuring perfect unlearning. Finally, experimental results show the effectiveness of the coded machine unlearning protocol in terms of performance versus unlearning cost trade-off.