Abstract:Model comparison and calibrated uncertainty quantification often require integrating over parameters, but scalable inference can be challenging for complex, multimodal targets. Nested Sampling is a robust alternative to standard MCMC, yet its typically sequential structure and hard constraints make efficient accelerator implementations difficult. This paper introduces Nested Slice Sampling (NSS), a GPU-friendly, vectorized formulation of Nested Sampling that uses Hit-and-Run Slice Sampling for constrained updates. A tuning analysis yields a simple near-optimal rule for setting the slice width, improving high-dimensional behavior and making per-step compute more predictable for parallel execution. Experiments on challenging synthetic targets, high dimensional Bayesian inference, and Gaussian process hyperparameter marginalization show that NSS maintains accurate evidence estimates and high-quality posterior samples, and is particularly robust on difficult multimodal problems where current state-of-the-art methods such as tempered SMC baselines can struggle. An open-source implementation is released to facilitate adoption and reproducibility.




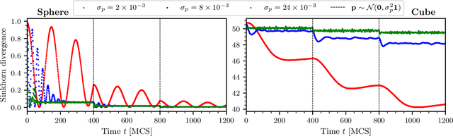
Abstract:In high dimensions, reflective Hamiltonian Monte Carlo with inexact reflections exhibits slow mixing when the particle ensemble is initialised from a Dirac delta distribution and the uniform distribution is targeted. By quantifying the instantaneous non-uniformity of the distribution with the Sinkhorn divergence, we elucidate the principal mechanisms underlying the mixing problems. In spheres and cubes, we show that the collective motion transitions between fluid-like and discretisation-dominated behaviour, with the critical step size scaling as a power law in the dimension. In both regimes, the particles can spontaneously unmix, leading to resonances in the particle density and the aforementioned problems. Additionally, low-dimensional toy models of the dynamics are constructed which reproduce the dominant features of the high-dimensional problem. Finally, the dynamics is contrasted with the exact Hamiltonian particle flow and tuning practices are discussed.
Abstract:Using a fully Bayesian approach, Gaussian Process regression is extended to include marginalisation over the kernel choice and kernel hyperparameters. In addition, Bayesian model comparison via the evidence enables direct kernel comparison. The calculation of the joint posterior was implemented with a transdimensional sampler which simultaneously samples over the discrete kernel choice and their hyperparameters by embedding these in a higher-dimensional space, from which samples are taken using nested sampling. This method was explored on synthetic data from exoplanet transit light curve simulations. The true kernel was recovered in the low noise region while no kernel was preferred for larger noise. Furthermore, inference of the physical exoplanet hyperparameters was conducted. In the high noise region, either the bias in the posteriors was removed, the posteriors were broadened or the accuracy of the inference was increased. In addition, the uncertainty in mean function predictive distribution increased due to the uncertainty in the kernel choice. Subsequently, the method was extended to marginalisation over mean functions and noise models and applied to the inference of the present-day Hubble parameter, $H_0$, from real measurements of the Hubble parameter as a function of redshift, derived from the cosmologically model-independent cosmic chronometer and {\Lambda}CDM-dependent baryon acoustic oscillation observations. The inferred $H_0$ values from the cosmic chronometers, baryon acoustic oscillations and combined datasets are $H_0$ = 66$\pm$6 km/s/Mpc, $H_0$ = 67$\pm$10 km/s/Mpc and $H_0$ = 69$\pm$6 km/s/Mpc, respectively. The kernel posterior of the cosmic chronometers dataset prefers a non-stationary linear kernel. Finally, the datasets are shown to be not in tension with ln(R)=12.17$\pm$0.02.