Université Paris-Saclay, CNRS, Institut d'astrophysique spatiale, 91405, Orsay, France
Abstract:Light emission from galaxies exhibit diverse brightness profiles, influenced by factors such as galaxy type, structural features and interactions with other galaxies. Elliptical galaxies feature more uniform light distributions, while spiral and irregular galaxies have complex, varied light profiles due to their structural heterogeneity and star-forming activity. In addition, galaxies with an active galactic nucleus (AGN) feature intense, concentrated emission from gas accretion around supermassive black holes, superimposed on regular galactic light, while quasi-stellar objects (QSO) are the extreme case of the AGN emission dominating the galaxy. The challenge of identifying AGN and QSO has been discussed many times in the literature, often requiring multi-wavelength observations. This paper introduces a novel approach to identify AGN and QSO from a single image. Diffusion models have been recently developed in the machine-learning literature to generate realistic-looking images of everyday objects. Utilising the spatial resolving power of the Euclid VIS images, we created a diffusion model trained on one million sources, without using any source pre-selection or labels. The model learns to reconstruct light distributions of normal galaxies, since the population is dominated by them. We condition the prediction of the central light distribution by masking the central few pixels of each source and reconstruct the light according to the diffusion model. We further use this prediction to identify sources that deviate from this profile by examining the reconstruction error of the few central pixels regenerated in each source's core. Our approach, solely using VIS imaging, features high completeness compared to traditional methods of AGN and QSO selection, including optical, near-infrared, mid-infrared, and X-rays. [abridged]
Abstract:Up to 150000 asteroids will be visible in the images of the ESA Euclid space telescope, and the instruments of Euclid offer multiband visual to near-infrared photometry and slitless spectra of these objects. Most asteroids will appear as streaks in the images. Due to the large number of images and asteroids, automated detection methods are needed. A non-machine-learning approach based on the StreakDet software was previously tested, but the results were not optimal for short and/or faint streaks. We set out to improve the capability to detect asteroid streaks in Euclid images by using deep learning. We built, trained, and tested a three-step machine-learning pipeline with simulated Euclid images. First, a convolutional neural network (CNN) detected streaks and their coordinates in full images, aiming to maximize the completeness (recall) of detections. Then, a recurrent neural network (RNN) merged snippets of long streaks detected in several parts by the CNN. Lastly, gradient-boosted trees (XGBoost) linked detected streaks between different Euclid exposures to reduce the number of false positives and improve the purity (precision) of the sample. The deep-learning pipeline surpasses the completeness and reaches a similar level of purity of a non-machine-learning pipeline based on the StreakDet software. Additionally, the deep-learning pipeline can detect asteroids 0.25-0.5 magnitudes fainter than StreakDet. The deep-learning pipeline could result in a 50% increase in the number of detected asteroids compared to the StreakDet software. There is still scope for further refinement, particularly in improving the accuracy of streak coordinates and enhancing the completeness of the final stage of the pipeline, which involves linking detections across multiple exposures.




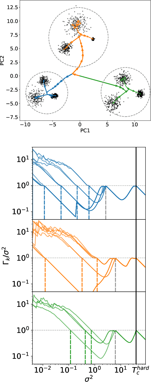
Abstract:We present a novel framework exploiting the cascade of phase transitions occurring during a simulated annealing of the Expectation-Maximisation algorithm to cluster datasets with multi-scale structures. Using the weighted local covariance, we can extract, a posteriori and without any prior knowledge, information on the number of clusters at different scales together with their size. We also study the linear stability of the iterative scheme to derive the threshold at which the first transition occurs and show how to approximate the next ones. Finally, we combine simulated annealing together with recent developments of regularised Gaussian mixture models to learn a principal graph from spatially structured datasets that can also exhibit many scales.