



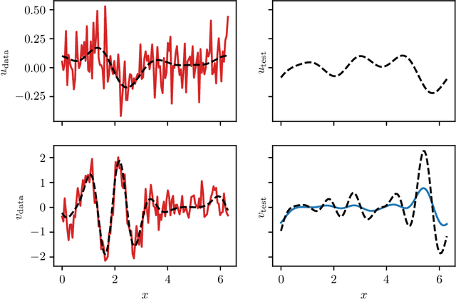
Abstract:Deep operator learning has emerged as a promising tool for reduced-order modelling and PDE model discovery. Leveraging the expressive power of deep neural networks, especially in high dimensions, such methods learn the mapping between functional state variables. While proposed methods have assumed noise only in the dependent variables, experimental and numerical data for operator learning typically exhibit noise in the independent variables as well, since both variables represent signals that are subject to measurement error. In regression on scalar data, failure to account for noisy independent variables can lead to biased parameter estimates. With noisy independent variables, linear models fitted via ordinary least squares (OLS) will show attenuation bias, wherein the slope will be underestimated. In this work, we derive an analogue of attenuation bias for linear operator regression with white noise in both the independent and dependent variables. In the nonlinear setting, we computationally demonstrate underprediction of the action of the Burgers operator in the presence of noise in the independent variable. We propose error-in-variables (EiV) models for two operator regression methods, MOR-Physics and DeepONet, and demonstrate that these new models reduce bias in the presence of noisy independent variables for a variety of operator learning problems. Considering the Burgers operator in 1D and 2D, we demonstrate that EiV operator learning robustly recovers operators in high-noise regimes that defeat OLS operator learning. We also introduce an EiV model for time-evolving PDE discovery and show that OLS and EiV perform similarly in learning the Kuramoto-Sivashinsky evolution operator from corrupted data, suggesting that the effect of bias in OLS operator learning depends on the regularity of the target operator.