



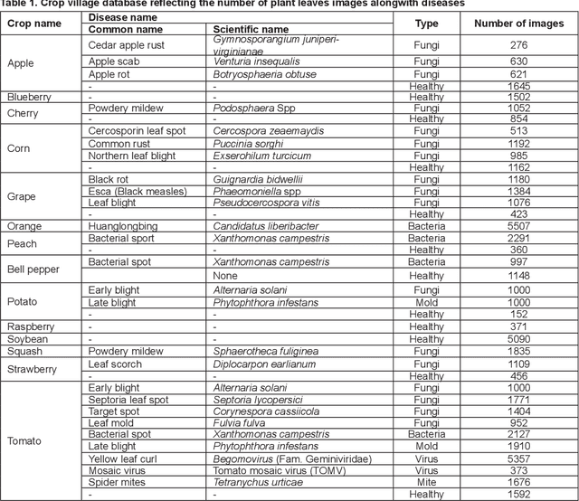
Abstract:Crop diseases are a major threat to food security and their rapid identification is important to prevent yield loss. Swift identification of these diseases are difficult due to the lack of necessary infrastructure. Recent advances in computer vision and increasing penetration of smartphones have paved the way for smartphone-assisted disease identification. Most of the plant diseases leave particular artifacts on the foliar structure of the plant. This study was conducted in 2020 at Department of Computer Science and Engineering, University of Engineering and Technology, Lahore, Pakistan to check leaf-based plant disease identification. This study provided a deep neural network-based solution to foliar disease identification and incorporated image quality assessment to select the image of the required quality to perform identification and named it Agricultural Pathologist (Agro Path). The captured image by a novice photographer may contain noise, lack of structure, and blur which result in a failed or inaccurate diagnosis. Moreover, AgroPath model had 99.42% accuracy for foliar disease identification. The proposed addition can be especially useful for application of foliar disease identification in the field of agriculture.




Abstract:Crop yield is affected by various soil and environmental parameters and can vary significantly. Therefore, a crop yield estimation model which can predict pre-harvest yield is required for food security. The study is conducted on tea forms operating under National Tea Research Institute, Pakistan. The data is recorded on monthly basis for ten years period. The parameters collected are minimum and maximum temperature, humidity, rainfall, PH level of the soil, usage of pesticide and labor expertise. The design of model incorporated all of these parameters and identified the parameters which are most crucial for yield predictions. Feature transformation is performed to obtain better performing model. The designed model is based on an ensemble of neural networks and provided an R-squared of 0.9461 and RMSE of 0.1204 indicating the usability of the proposed model in yield forecasting based on surface and environmental parameters.