



Abstract:To more flexibly balance between exploration and exploitation, a new meta-heuristic method based on Uncertainty Principle concepts is proposed in this paper. UP is is proved effective in multiple branches of science. In the branch of quantum mechanics, canonically conjugate observables such as position and momentum cannot both be distinctly determined in any quantum state. In the same manner, the branch of Spectral filtering design implies that a nonzero function and its Fourier transform cannot both be sharply localized. After delving into such concepts on Uncertainty Principle and their variations in quantum physics, Fourier analysis, and wavelet design, the proposed framework is described in terms of algorithm and flowchart. Our proposed optimizer's idea is based on an inherent uncertainty in performing local search versus global solution search. A set of compatible metrics for each part of the framework is proposed to derive preferred form of algorithm. Evaluations and comparisons at the end of paper show competency and distinct capability of the algorithm over some of the well-known and recently proposed metaheuristics.




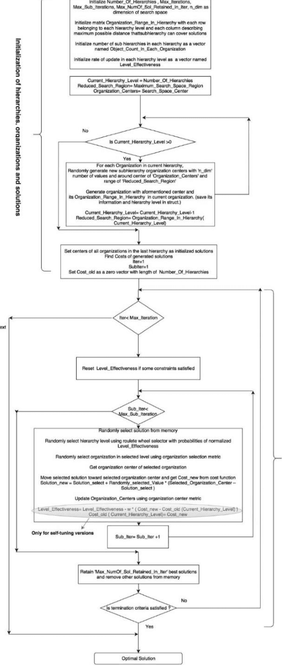
Abstract:Swarm-based optimizers like Particle Swarm Optimization or Imperialistic Competitive Algorithm that act under influences of cooperation or competition among groups, are unable to search in multiple volumes of locality or globality and do not have nested localities. As hybrid optimizers, they may not give satisfactory results as initializers in Gradient Descent approximators used in plenty of multimodal problems like nonlinear subspace learning and neural network training, which have hierarchies of convex spaces due to nonlinearity and multi-layer nature of these models. To search in various levels of scale in a homogenous way, a framework is proposed to equip PSO and ICA a multi-scale search capability. Then, the resulted optimizers are evaluated in single and GD-hybridized mode. Hybrid evaluation as GD randomizer is implemented with the help of a nonlinear subspace filtering objective function over EEG data and optimization loss and validation data accuracy is compared with other hybrids containing GD. A single evaluation is also taken place between the proposed ones, PSO, ICA, CLPSO, and CICA, which are used more in hybrid learning-based approaches. Evaluations were with respect to solution error. Before concluding the paper, it is shown and analyzed that proposed optimizers outperform algorithms of related context both in single and hybrid-GD mode.




Abstract:Observer effect in physics (/psychology) regards bias in measurement (/perception) due to the interference of instrument (/knowledge). Based on these concepts, a new meta-heuristic algorithm is proposed for controlling memory usage per localities without pursuing Tabu-like cut-off approaches. In this paper, first, variations of observer effect are explained in different branches of science from physics to psychology. Then, a metaheuristic algorithm is proposed based on observer effect concepts and the used metrics are explained. The derived optimizer performance has been compared between 1st, non-homogeneous-peaks-density functions, and 2nd, homogeneous-peaks-density functions to verify the algorithm outperformance in the 1st scheme. Finally, performance analysis of the novel algorithms is derived using two real-world engineering applications in Electroencephalogram feature learning and Distributed Generator parameter tuning, each of which having nonlinearity and complex multi-modal peaks distributions as its characteristics. Also, the effect of version improvement has been assessed. The performance analysis among other optimizers in the same context suggests that the proposed algorithm is useful both solely and in hybrid Gradient Descent settings where problem's search space is nonhomogeneous in terms of local peaks density.