



Abstract:Distributed phased arrays are comprised of separate, smaller antenna systems that coordinate with each other to support coherent beamforming towards a destination. However, due to the frequency drift and phase jitter of the oscillators, as well as the frequency and phase estimation errors induced at the nodes, there exists decoherence that degrades the beamforming process. A decentralized frequency and phase consensus (DFPC) algorithm was proposed in prior work for undirected networks in which the nodes locally share their frequencies and phases with their neighbors to reach synchronization. Kalman filtering (KF) was also integrated with DFPC (KF-DFPC) to lower the total residual phase error upon convergence. Since these DFPC-based algorithms rely on the average consensus protocol, they do not converge for directed networks. In this paper, we propose a push-sum based frequency and phase consensus (PsFPC) algorithm for the directed networks. The residual phase error of PsFPC is theoretically derived as well. Kalman filtering is also integrated with PsFPC and the resulting KF-PsFPC algorithm shows a significant reduction in the residual phase error upon convergence. KF assumes that the model parameters, i.e., the measurement noise and innovation noise covariance matrices, are known. Since they may not be known in practice, we develop an online expectation maximization (EM) based algorithm that iteratively computes the maximum likelihood (ML) estimate of the unknown matrices in an online manner. EM is integrated with KF-PsFPC to propose the EM-KF-PsFPC algorithm. Simulation results are included where the performance of the PsFPC-based algorithms is analyzed for different distributed phased arrays and is compared to other algorithms.


Abstract:We consider the problem of decentralized frequency and phase synchronization in distributed phased arrays via local broadcast of the node electrical states. Frequency and phase synchronization between nodes in a distributed array is necessary to support beamforming, but due to the operational dynamics of the local oscillators of the nodes, the frequencies and phases of their output signals undergo the random drift and jitter in between the update intervals. Furthermore, frequency and phase estimation errors contribute to the total phase errors, leading to a residual phase error in the array that degrades coherent operation. Recently, a classical decentralized frequency and phase synchronization algorithm based on consensus averaging was proposed with which the standard deviation of the residual phase errors upon convergence was reduced to $10^{-4}$ degrees for internode update intervals of $0.1$ ms, however this was obtained for arrays with at least $400$ nodes and a high connectivity ratio of $0.9$. In this paper, we propose a message passing based average consensus (MPAC) algorithm to improve the synchronization of the electrical states of the nodes in distributed arrays. Simulation results show that the proposed MPAC algorithm significantly reduces the residual phase errors to about $10^{-11}$ degrees, requiring only $20$ moderately connected nodes in an array. Furthermore, MPAC converges faster than the DFPC-based algorithms, particularly for the larger arrays with a moderate connectivity.




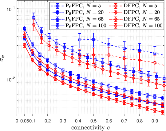
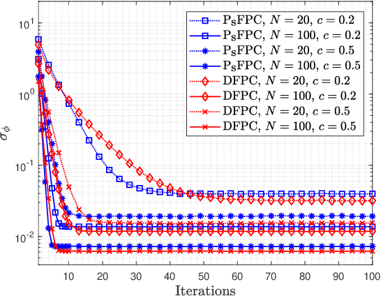
Abstract:A decentralized approach for joint frequency and phase synchronization in distributed antenna arrays is presented. The nodes in the array share their frequencies and phases with their neighboring nodes to align these parameters across the array. Our signal model includes the frequency drifts and phase jitters of the local oscillators as well as the frequency and phase estimation errors at the nodes and models them using practical statistics. A decentralized frequency and phase consensus (DFPC) algorithm is proposed which uses an average consensus method in which each node in the array iteratively updates its frequency and phase by computing an average of the frequencies and phases of their neighboring nodes. Simulation results show that upon convergence the DFPC algorithm can align the frequencies and phases of all the nodes up to a residual phase error that is governed by the oscillators and the estimation errors. To reduce this residual phase error and thus improve the synchronization between the nodes, a Kalman filter based decentralized frequency and phase consensus (KF-DFPC) algorithm is presented. The total residual phase error at the convergence of the KF-DFPC and DFPC algorithms is derived theoretically. The synchronization performances of these algorithms are compared to each other in light of this theoretical residual phase error by varying the duration of the signals, connectivity of the nodes, the number of nodes in the array, and signal to noise ratio of the transmitted signals. Simulation results demonstrate that the proposed KF-DFPC algorithm converges in fewer iterations than the DFPC algorithm. Furthermore, for shorter intervals between local information broadcasts, the KF-DFPC algorithm significantly outperforms the DFPC algorithm in reducing the residual total phase error, irrespective of the signal to noise ratio of the received signals.