



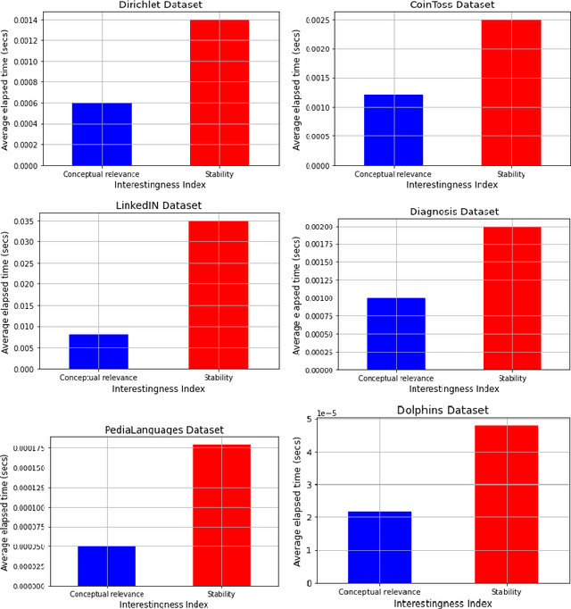
Abstract:Discovering meaningful conceptual structures is a substantial task in data mining and knowledge discovery applications. While off-the-shelf interestingness indices defined in Formal Concept Analysis may provide an effective relevance evaluation in several situations, they frequently give inadequate results when faced with massive formal contexts (and concept lattices), and in the presence of irrelevant concepts. In this paper, we introduce the Conceptual Relevance (CR) score, a new scalable interestingness measurement for the identification of actionable concepts. From a conceptual perspective, the minimal generators provide key information about their associated concept intent. Furthermore, the relevant attributes of a concept are those that maintain the satisfaction of its closure condition. Thus, the guiding idea of CR exploits the fact that minimal generators and relevant attributes can be efficiently used to assess concept relevance. As such, the CR index quantifies both the amount of conceptually relevant attributes and the number of the minimal generators per concept intent. Our experiments on synthetic and real-world datasets show the efficiency of this measure over the well-known stability index.




Abstract:Identifying important actors (or nodes) in a two-mode network often remains a crucial challenge in mining, analyzing, and interpreting real-world networks. While traditional bipartite centrality indices are often used to recognize key nodes that influence the network information flow, they frequently produce poor results in intricate situations such as massive networks with complex local structures or a lack of complete knowledge about the network topology and certain properties. In this paper, we introduce Bi-face (BF), a new bipartite centrality measurement for identifying important nodes in two-mode networks. Using the powerful mathematical formalism of Formal Concept Analysis, the BF measure exploits the faces of concept intents to identify nodes that have influential bicliques connectivity and are not located in irrelevant bridges. Unlike off-the shelf centrality indices, it quantifies how a node has a cohesive-substructure influence on its neighbour nodes via bicliques while not being in network core-peripheral ones through its absence from non-influential bridges. Our experiments on several real-world and synthetic networks show the efficiency of BF over existing prominent bipartite centrality measures such as betweenness, closeness, eigenvector, and vote-rank among others.




Abstract:One key challenge in Social Network Analysis is to design an efficient and accurate community detection procedure as a means to discover intrinsic structures and extract relevant information. In this paper, we introduce a novel strategy called (COIN), which exploits COncept INterestingness measures to detect communities based on the concept lattice construction of the network. Thus, unlike off-the-shelf community detection algorithms, COIN leverages relevant conceptual characteristics inherited from Formal Concept Analysis to discover substantial local structures. On the first stage of COIN, we extract the formal concepts that capture all the cliques and bridges in the social network. On the second stage, we use the stability index to remove noisy bridges between communities and then percolate relevant adjacent cliques. Our experiments on several real-world social networks show that COIN can quickly detect communities more accurately than existing prominent algorithms such as Edge betweenness, Fast greedy modularity, and Infomap.