



Abstract:Since its inception in 2013, the Travelling Thief Problem (TTP) has been widely studied as an example of problems with multiple interconnected sub-problems. The dependency in this model arises when tying the travelling time of the "thief" to the weight of the knapsack. However, other forms of dependency as well as combinations of dependencies should be considered for investigation, as they are often found in complex real-world problems. Our goal is to study the impact of different forms of dependency in the TTP using a simple local search algorithm. To achieve this, we use Local Optima Networks, a technique for analysing the fitness landscape.




Abstract:A Local Optima Network (LON) is a graph model that compresses the fitness landscape of a particular combinatorial optimization problem based on a specific neighborhood operator and a local search algorithm. Determining which and how landscape features affect the effectiveness of search algorithms is relevant for both predicting their performance and improving the design process. This paper proposes the concept of multi-layer LONs as well as a methodology to explore these models aiming at extracting metrics for fitness landscape analysis. Constructing such models, extracting and analyzing their metrics are the preliminary steps into the direction of extending the study on single neighborhood operator heuristics to more sophisticated ones that use multiple operators. Therefore, in the present paper we investigate a twolayer LON obtained from instances of a combinatorial problem using bitflip and swap operators. First, we enumerate instances of NK-landscape model and use the hill climbing heuristic to build the corresponding LONs. Then, using LON metrics, we analyze how efficiently the search might be when combining both strategies. The experiments show promising results and demonstrate the ability of multi-layer LONs to provide useful information that could be used for in metaheuristics based on multiple operators such as Variable Neighborhood Search.




Abstract:In this paper, we introduce a Model-based Algorithm Turning Engine, namely MATE, where the parameters of an algorithm are represented as expressions of the features of a target optimisation problem. In contrast to most static (feature-independent) algorithm tuning engines such as irace and SPOT, our approach aims to derive the best parameter configuration of a given algorithm for a specific problem, exploiting the relationships between the algorithm parameters and the features of the problem. We formulate the problem of finding the relationships between the parameters and the problem features as a symbolic regression problem and we use genetic programming to extract these expressions. For the evaluation, we apply our approach to configuration of the (1+1) EA and RLS algorithms for the OneMax, LeadingOnes, BinValue and Jump optimisation problems, where the theoretically optimal algorithm parameters to the problems are available as functions of the features of the problems. Our study shows that the found relationships typically comply with known theoretical results, thus demonstrating a new opportunity to consider model-based parameter tuning as an effective alternative to the static algorithm tuning engines.



Abstract:Recognising that real-world optimisation problems have multiple interdependent components can be quite easy. However, providing a generic and formal model for dependencies between components can be a tricky task. In fact, a PMIC can be considered simply as a single optimisation problem and the dependencies between components could be investigated by studying the decomposability of the problem and the correlations between the sub-problems. In this work, we attempt to define PMICs by reasoning from a reverse perspective. Instead of considering a decomposable problem, we model multiple problems (the components) and define how these components could be connected. In this document, we introduce notions related to problems with mutliple interndependent components. We start by introducing realistic examples from logistics and supply chain management to illustrate the composite nature and dependencies in these problems. Afterwards, we provide our attempt to formalise and classify dependency in multi-component problems.




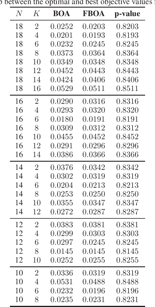
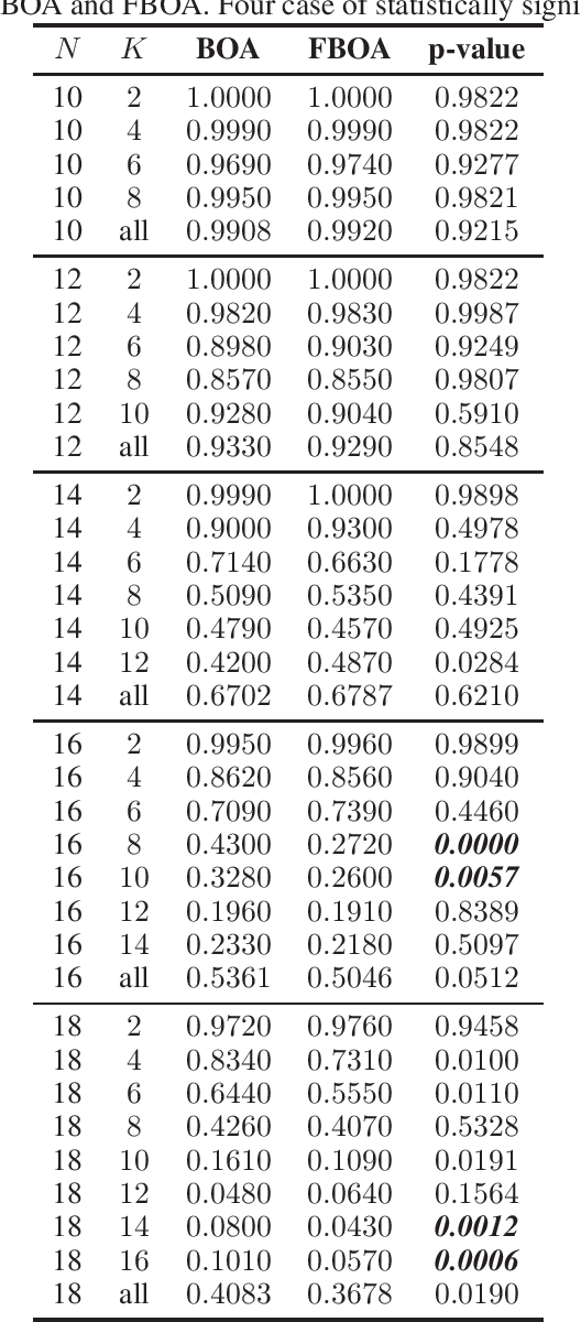
Abstract:The Bayesian Optimisation Algorithm (BOA) is an Estimation of Distribution Algorithm (EDA) that uses a Bayesian network as probabilistic graphical model (PGM). Determining the optimal Bayesian network structure given a solution sample is an NP-hard problem. This step should be completed at each iteration of BOA, resulting in a very time-consuming process. For this reason most implementations use greedy estimation algorithms such as K2. However, we show in this paper that significant changes in PGM structure do not occur so frequently, and can be particularly sparse at the end of evolution. A statistical study of BOA is thus presented to characterise a pattern of PGM adjustments that can be used as a guide to reduce the frequency of PGM updates during the evolutionary process. This is accomplished by proposing a new BOA-based optimisation approach (FBOA) whose PGM is not updated at each iteration. This new approach avoids the computational burden usually found in the standard BOA. The results compare the performances of both algorithms on an NK-landscape optimisation problem using the correlation between the ruggedness and the expected runtime over enumerated instances. The experiments show that FBOA presents competitive results while significantly saving computational time.




Abstract:Fitness landscape analysis investigates features with a high influence on the performance of optimization algorithms, aiming to take advantage of the addressed problem characteristics. In this work, a fitness landscape analysis using problem features is performed for a Multi-objective Bayesian Optimization Algorithm (mBOA) on instances of MNK-landscape problem for 2, 3, 5 and 8 objectives. We also compare the results of mBOA with those provided by NSGA-III through the analysis of their estimated runtime necessary to identify an approximation of the Pareto front. Moreover, in order to scrutinize the probabilistic graphic model obtained by mBOA, the Pareto front is examined according to a probabilistic view. The fitness landscape study shows that mBOA is moderately or loosely influenced by some problem features, according to a simple and a multiple linear regression model, which is being proposed to predict the algorithms performance in terms of the estimated runtime. Besides, we conclude that the analysis of the probabilistic graphic model produced at the end of evolution can be useful to understand the convergence and diversity performances of the proposed approach.


Abstract:This extended abstract presents an overview on NP-hard optimization problems with multiple interdependent components. These problems occur in many real-world applications: industrial applications, engineering, and logistics. The fact that these problems are composed of many sub-problems that are NP-hard makes them even more challenging to solve using exact algorithms. This is mainly due to the high complexity of this class of algorithms and the hardness of the problems themselves. The main source of difficulty of these problems is the presence of internal dependencies between sub-problems. This aspect of interdependence of components is presented, and some outlines on solving approaches are briefly introduced from a (meta)heuristics and evolutionary computation perspective.




Abstract:Real-world problems are very difficult to optimize. However, many researchers have been solving benchmark problems that have been extensively investigated for the last decades even if they have very few direct applications. The Traveling Thief Problem (TTP) is a NP-hard optimization problem that aims to provide a more realistic model. TTP targets particularly routing problem under packing/loading constraints which can be found in supply chain management and transportation. In this paper, TTP is presented and formulated mathematically. A combined local search algorithm is proposed and compared with Random Local Search (RLS) and Evolutionary Algorithm (EA). The obtained results are quite promising since new better solutions were found.