Abstract:Maximum entropy (MaxEnt) modelling provides a principled framework for generating synthetic populations from aggregate census data, without access to individual-level microdata. The bottleneck of existing approaches is exact expectation computation, which requires summing over the full tuple space $\cX$ and becomes infeasible for more than $K \approx 20$ categorical attributes. We propose \emph{GibbsPCDSolver}, a stochastic replacement for this computation based on Persistent Contrastive Divergence (PCD): a persistent pool of $N$ synthetic individuals is updated by Gibbs sweeps at each gradient step, providing a stochastic approximation of the model expectations without ever materialising $\cX$. We validate the approach on controlled benchmarks and on \emph{Syn-ISTAT}, a $K{=}15$ Italian demographic benchmark with analytically exact marginal targets derived from ISTAT-inspired conditional probability tables. Scaling experiments across $K \in \{12, 20, 30, 40, 50\}$ confirm that GibbsPCDSolver maintains $\MRE \in [0.010, 0.018]$ while $|\cX|$ grows eighteen orders of magnitude, with runtime scaling as $O(K)$ rather than $O(|\cX|)$. On Syn-ISTAT, GibbsPCDSolver reaches $\MRE{=}0.03$ on training constraints and -- crucially -- produces populations with effective sample size $\Neff = N$ versus $\Neff \approx 0.012\,N$ for generalised raking, an $86.8{\times}$ diversity advantage that is essential for agent-based urban simulations.
Abstract:This paper introduces TRAILDREAMS, a framework that uses a large language model (LLM) to automate the production of movie trailers. The purpose of LLM is to select key visual sequences and impactful dialogues, and to help TRAILDREAMS to generate audio elements such as music and voiceovers. The goal is to produce engaging and visually appealing trailers efficiently. In comparative evaluations, TRAILDREAMS surpasses current state-of-the-art trailer generation methods in viewer ratings. However, it still falls short when compared to real, human-crafted trailers. While TRAILDREAMS demonstrates significant promise and marks an advancement in automated creative processes, further improvements are necessary to bridge the quality gap with traditional trailers.




Abstract:Long Short-Term Memory (LSTM) networks have recently shown remarkable performance in several tasks dealing with natural language generation, such as image captioning or poetry composition. Yet, only few works have analyzed text generated by LSTMs in order to quantitatively evaluate to which extent such artificial texts resemble those generated by humans. We compared the statistical structure of LSTM-generated language to that of written natural language, and to those produced by Markov models of various orders. In particular, we characterized the statistical structure of language by assessing word-frequency statistics, long-range correlations, and entropy measures. Our main finding is that while both LSTM and Markov-generated texts can exhibit features similar to real ones in their word-frequency statistics and entropy measures, LSTM-texts are shown to reproduce long-range correlations at scales comparable to those found in natural language. Moreover, for LSTM networks a temperature-like parameter controlling the generation process shows an optimal value---for which the produced texts are closest to real language---consistent across all the different statistical features investigated.




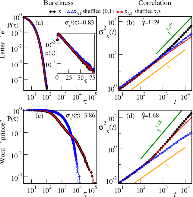
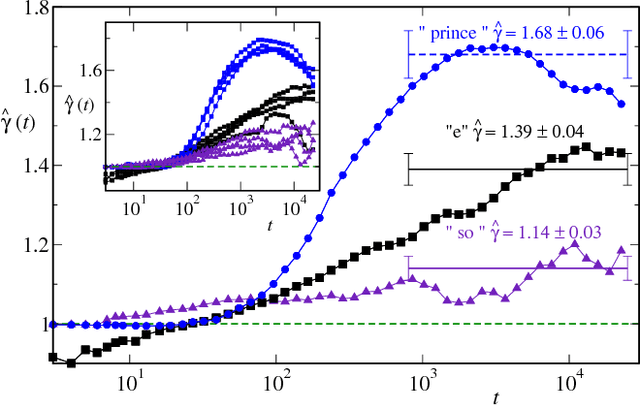
Abstract:The complexity of human interactions with social and natural phenomena is mirrored in the way we describe our experiences through natural language. In order to retain and convey such a high dimensional information, the statistical properties of our linguistic output has to be highly correlated in time. An example are the robust observations, still largely not understood, of correlations on arbitrary long scales in literary texts. In this paper we explain how long-range correlations flow from highly structured linguistic levels down to the building blocks of a text (words, letters, etc..). By combining calculations and data analysis we show that correlations take form of a bursty sequence of events once we approach the semantically relevant topics of the text. The mechanisms we identify are fairly general and can be equally applied to other hierarchical settings.