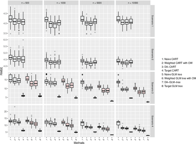
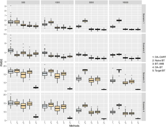
Abstract:Machine learning models often face challenges in medical applications due to covariate shifts, where discrepancies between training and target data distributions can decrease predictive accuracy. This paper introduces an adaptation of Classification and Regression Trees (CART) that incorporates importance weighting to address these distributional differences effectively. By assigning greater weight to training samples that closely represent the target distribution, our approach modifies the CART model to improve performance in the presence of covariate shift. We evaluate the effectiveness of this method through simulation studies and apply it to real-world medical data, showing significant improvements in predictive accuracy. The results indicate that this weighted CART approach can be valuable in medical and other fields where covariate shift poses challenges, enabling more reliable predictions across diverse data distributions.