

Abstract:The UN-Habitat estimates that over one billion people live in slums around the world. However, state-of-the-art techniques to detect the location of slum areas employ high-resolution satellite imagery, which is costly to obtain and process. As a result, researchers have started to look at utilising free and open-access medium resolution satellite imagery. Yet, there is no clear consensus on which data preparation and machine learning approaches are the most appropriate to use with such imagery data. In this paper, we evaluate two techniques (multi-spectral data and grey-level co-occurrence matrix feature extraction) on an open-access dataset consisting of labelled Sentinel-2 images with a spatial resolution of 10 meters. Both techniques were paired with a canonical correlation forests classifier. The results show that the grey-level co-occurrence matrix performed better than multi-spectral data for all four cities. It had an average accuracy for the slum class of 97% and a mean intersection over union of 94%, while multi-spectral data had 75% and 64% for the respective metrics. These results indicate that open-access satellite imagery with a resolution of at least 10 meters may be suitable for keeping track of development goals such as the detection of slums in cities.




Abstract:The Information Retrieval research has used semantics to provide accurate search results, but the analysis of conceptual abstraction has mainly focused on information integration. We consider session-based query expansion in Geographical Information Retrieval, and investigate the impact of semantic granularity (i.e., specificity of concepts representation) on the suggestion of relevant types of information to search for. We study how different levels of detail in knowledge representation influence the capability of guiding the user in the exploration of a complex information space. A comparative analysis of the performance of a query expansion model, using three spatial ontologies defined at different semantic granularity levels, reveals that a fine-grained representation enhances recall. However, precision depends on how closely the ontologies match the way people conceptualize and verbally describe the geographic space.




Abstract:The linked open data (LOD) paradigm has emerged as a promising approach to structuring and sharing geospatial information. One of the major obstacles to this vision lies in the difficulties found in the automatic integration between heterogeneous vocabularies and ontologies that provides the semantic backbone of the growing constellation of open geo-knowledge bases. In this article, we show how to utilize WordNet as a semantic hub to increase the integration of LOD. With this purpose in mind, we devise Voc2WordNet, an unsupervised mapping technique between a given vocabulary and WordNet, combining intensional and extensional aspects of the geographic terms. Voc2WordNet is evaluated against a sample of human-generated alignments with the OpenStreetMap (OSM) Semantic Network, a crowdsourced geospatial resource, and the GeoNames ontology, the vocabulary of a large digital gazetteer. These empirical results indicate that the approach can obtain high precision and recall.




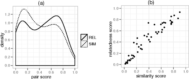
Abstract:In geographic information science and semantics, the computation of semantic similarity is widely recognised as key to supporting a vast number of tasks in information integration and retrieval. By contrast, the role of geo-semantic relatedness has been largely ignored. In natural language processing, semantic relatedness is often confused with the more specific semantic similarity. In this article, we discuss a notion of geo-semantic relatedness based on Lehrer's semantic fields, and we compare it with geo-semantic similarity. We then describe and validate the Geo Relatedness and Similarity Dataset (GeReSiD), a new open dataset designed to evaluate computational measures of geo-semantic relatedness and similarity. This dataset is larger than existing datasets of this kind, and includes 97 geographic terms combined into 50 term pairs rated by 203 human subjects. GeReSiD is available online and can be used as an evaluation baseline to determine empirically to what degree a given computational model approximates geo-semantic relatedness and similarity.




Abstract:Computational measures of semantic similarity between geographic terms provide valuable support across geographic information retrieval, data mining, and information integration. To date, a wide variety of approaches to geo-semantic similarity have been devised. A judgment of similarity is not intrinsically right or wrong, but obtains a certain degree of cognitive plausibility, depending on how closely it mimics human behavior. Thus selecting the most appropriate measure for a specific task is a significant challenge. To address this issue, we make an analogy between computational similarity measures and soliciting domain expert opinions, which incorporate a subjective set of beliefs, perceptions, hypotheses, and epistemic biases. Following this analogy, we define the semantic similarity ensemble (SSE) as a composition of different similarity measures, acting as a panel of experts having to reach a decision on the semantic similarity of a set of geographic terms. The approach is evaluated in comparison to human judgments, and results indicate that an SSE performs better than the average of its parts. Although the best member tends to outperform the ensemble, all ensembles outperform the average performance of each ensemble's member. Hence, in contexts where the best measure is unknown, the ensemble provides a more cognitively plausible approach.