



Abstract:This work explores the relationship between state space methods and Koopman operator-based methods for predicting the time-evolution of nonlinear dynamical systems. We demonstrate that extended dynamic mode decomposition with dictionary learning (EDMD-DL), when combined with a state space projection, is equivalent to a neural network representation of the nonlinear discrete-time flow map on the state space. We highlight how this projection step introduces nonlinearity into the evolution equations, enabling significantly improved EDMD-DL predictions. With this projection, EDMD-DL leads to a nonlinear dynamical system on the state space, which can be represented in either discrete or continuous time. This system has a natural structure for neural networks, where the state is first expanded into a high dimensional feature space followed by a linear mapping which represents the discrete-time map or the vector field as a linear combination of these features. Inspired by these observations, we implement several variations of neural ordinary differential equations (ODEs) and EDMD-DL, developed by combining different aspects of their respective model structures and training procedures. We evaluate these methods using numerical experiments on chaotic dynamics in the Lorenz system and a nine-mode model of turbulent shear flow, showing comparable performance across methods in terms of short-time trajectory prediction, reconstruction of long-time statistics, and prediction of rare events. We also show that these methods provide comparable performance to a non-Markovian approach in terms of prediction of extreme events.




Abstract:The dynamics of flexible filaments entrained in flow, important for understanding many biological and industrial processes, are computationally expensive to model with full-physics simulations. This work describes a data-driven technique to create high-fidelity low-dimensional models of flexible fiber dynamics using machine learning; the technique is applied to sedimentation in a quiescent, viscous Newtonian fluid, using results from detailed simulations as the data set. The approach combines an autoencoder neural network architecture to learn a low-dimensional latent representation of the filament shape, with a neural ODE that learns the evolution of the particle in the latent state. The model was designed to model filaments of varying flexibility, characterized by an elasto-gravitational number $\mathcal{B}$, and was trained on a data set containing the evolution of fibers beginning at set angles of inclination. For the range of $\mathcal{B}$ considered here (100-10000), the filament shape dynamics can be represented with high accuracy with only four degrees of freedom, in contrast to the 93 present in the original bead-spring model used to generate the dynamic trajectories. We predict the evolution of fibers set at arbitrary angles and demonstrate that our data-driven model can accurately forecast the evolution of a fiber at both trained and untrained elasto-gravitational numbers.




Abstract:Symmetries in a dynamical system provide an opportunity to dramatically improve the performance of data-driven models. For fluid flows, such models are needed for tasks related to design, understanding, prediction, and control. In this work we exploit the symmetries of the Navier-Stokes equations (NSE) and use simulation data to find the manifold where the long-time dynamics live, which has many fewer degrees of freedom than the full state representation, and the evolution equation for the dynamics on that manifold. We call this method ''symmetry charting''. The first step is to map to a ''fundamental chart'', which is a region in the state space of the flow to which all other regions can be mapped by a symmetry operation. To map to the fundamental chart we identify a set of indicators from the Fourier transform that uniquely identify the symmetries of the system. We then find a low-dimensional coordinate representation of the data in the fundamental chart with the use of an autoencoder. We use a variation called an implicit rank minimizing autoencoder with weight decay, which in addition to compressing the dimension of the data, also gives estimates of how many dimensions are needed to represent the data: i.e. the dimension of the invariant manifold of the long-time dynamics. Finally, we learn dynamics on this manifold with the use of neural ordinary differential equations. We apply symmetry charting to two-dimensional Kolmogorov flow in a chaotic bursting regime. This system has a continuous translation symmetry, and discrete rotation and shift-reflect symmetries. With this framework we observe that less data is needed to learn accurate data-driven models, more robust estimates of the manifold dimension are obtained, equivariance of the NSE is satisfied, better short-time tracking with respect to the true data is observed, and long-time statistics are correctly captured.




Abstract:Data-driven approximations of the Koopman operator are promising for predicting the time evolution of systems characterized by complex dynamics. Among these methods, the approach known as extended dynamic mode decomposition with dictionary learning (EDMD-DL) has garnered significant attention. Here we present a modification of EDMD-DL that concurrently determines both the dictionary of observables and the corresponding approximation of the Koopman operator. This innovation leverages automatic differentiation to facilitate gradient descent computations through the pseudoinverse. We also address the performance of several alternative methodologies. We assess a 'pure' Koopman approach, which involves the direct time-integration of a linear, high-dimensional system governing the dynamics within the space of observables. Additionally, we explore a modified approach where the system alternates between spaces of states and observables at each time step -- this approach no longer satisfies the linearity of the true Koopman operator representation. For further comparisons, we also apply a state space approach (neural ODEs). We consider systems encompassing two and three-dimensional ordinary differential equation systems featuring steady, oscillatory, and chaotic attractors, as well as partial differential equations exhibiting increasingly complex and intricate behaviors. Our framework significantly outperforms EDMD-DL. Furthermore, the state space approach offers superior performance compared to the 'pure' Koopman approach where the entire time evolution occurs in the space of observables. When the temporal evolution of the Koopman approach alternates between states and observables at each time step, however, its predictions become comparable to those of the state space approach.
Abstract:While many phenomena in physics and engineering are formally high-dimensional, their long-time dynamics often live on a lower-dimensional manifold. The present work introduces an autoencoder framework that combines implicit regularization with internal linear layers and $L_2$ regularization (weight decay) to automatically estimate the underlying dimensionality of a data set, produce an orthogonal manifold coordinate system, and provide the mapping functions between the ambient space and manifold space, allowing for out-of-sample projections. We validate our framework's ability to estimate the manifold dimension for a series of datasets from dynamical systems of varying complexities and compare to other state-of-the-art estimators. We analyze the training dynamics of the network to glean insight into the mechanism of low-rank learning and find that collectively each of the implicit regularizing layers compound the low-rank representation and even self-correct during training. Analysis of gradient descent dynamics for this architecture in the linear case reveals the role of the internal linear layers in leading to faster decay of a "collective weight variable" incorporating all layers, and the role of weight decay in breaking degeneracies and thus driving convergence along directions in which no decay would occur in its absence. We show that this framework can be naturally extended for applications of state-space modeling and forecasting by generating a data-driven dynamic model of a spatiotemporally chaotic partial differential equation using only the manifold coordinates. Finally, we demonstrate that our framework is robust to hyperparameter choices.




Abstract:The high dimensionality and complex dynamics of turbulent flows remain an obstacle to the discovery and implementation of control strategies. Deep reinforcement learning (RL) is a promising avenue for overcoming these obstacles, but requires a training phase in which the RL agent iteratively interacts with the flow environment to learn a control policy, which can be prohibitively expensive when the environment involves slow experiments or large-scale simulations. We overcome this challenge using a framework we call "DManD-RL" (data-driven manifold dynamics-RL), which generates a data-driven low-dimensional model of our system that we use for RL training. With this approach, we seek to minimize drag in a direct numerical simulation (DNS) of a turbulent minimal flow unit of plane Couette flow at Re=400 using two slot jets on one wall. We obtain, from DNS data with $\mathcal{O}(10^5)$ degrees of freedom, a 25-dimensional DManD model of the dynamics by combining an autoencoder and neural ordinary differential equation. Using this model as the environment, we train an RL control agent, yielding a 440-fold speedup over training on the DNS, with equivalent control performance. The agent learns a policy that laminarizes 84% of unseen DNS test trajectories within 900 time units, significantly outperforming classical opposition control (58%), despite the actuation authority being much more restricted. The agent often achieves laminarization through a counterintuitive strategy that drives the formation of two low-speed streaks, with a spanwise wavelength that is too small to be self-sustaining. The agent demonstrates the same performance when we limit observations to wall shear rate.
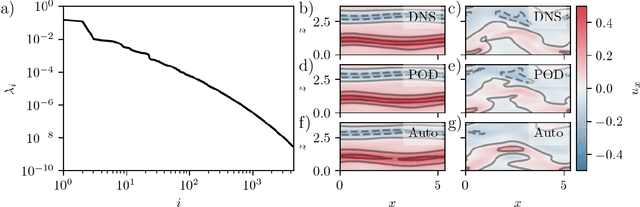
Abstract:Because the Navier-Stokes equations are dissipative, the long-time dynamics of a flow in state space are expected to collapse onto a manifold whose dimension may be much lower than the dimension required for a resolved simulation. On this manifold, the state of the system can be exactly described in a coordinate system parameterizing the manifold. Describing the system in this low-dimensional coordinate system allows for much faster simulations and analysis. We show, for turbulent Couette flow, that this description of the dynamics is possible using a data-driven manifold dynamics modeling method. This approach consists of an autoencoder to find a low-dimensional manifold coordinate system and a set of ordinary differential equations defined by a neural network. Specifically, we apply this method to minimal flow unit turbulent plane Couette flow at $\textit{Re}=400$, where a fully resolved solutions requires $\mathcal{O}(10^5)$ degrees of freedom. Using only data from this simulation we build models with fewer than $20$ degrees of freedom that quantitatively capture key characteristics of the flow, including the streak breakdown and regeneration cycle. At short-times, the models track the true trajectory for multiple Lyapunov times, and, at long-times, the models capture the Reynolds stress and the energy balance. For comparison, we show that the models outperform POD-Galerkin models with $\sim$2000 degrees of freedom. Finally, we compute unstable periodic orbits from the models. Many of these closely resemble previously computed orbits for the full system; additionally, we find nine orbits that correspond to previously unknown solutions in the full system.




Abstract:A common problem in time series analysis is to predict dynamics with only scalar or partial observations of the underlying dynamical system. For data on a smooth compact manifold, Takens theorem proves a time delayed embedding of the partial state is diffeomorphic to the attractor, although for chaotic and highly nonlinear systems learning these delay coordinate mappings is challenging. We utilize deep artificial neural networks (ANNs) to learn discrete discrete time maps and continuous time flows of the partial state. Given training data for the full state, we also learn a reconstruction map. Thus, predictions of a time series can be made from the current state and several previous observations with embedding parameters determined from time series analysis. The state space for time evolution is of comparable dimension to reduced order manifold models. These are advantages over recurrent neural network models, which require a high dimensional internal state or additional memory terms and hyperparameters. We demonstrate the capacity of deep ANNs to predict chaotic behavior from a scalar observation on a manifold of dimension three via the Lorenz system. We also consider multivariate observations on the Kuramoto-Sivashinsky equation, where the observation dimension required for accurately reproducing dynamics increases with the manifold dimension via the spatial extent of the system.




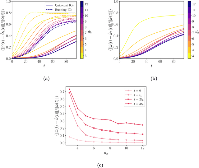
Abstract:Reduced order models (ROMs) that capture flow dynamics are of interest for decreasing computational costs for simulation as well as for model-based control approaches. This work presents a data-driven framework for minimal-dimensional models that effectively capture the dynamics and properties of the flow. We apply this to Kolmogorov flow in a regime consisting of chaotic and intermittent behavior, which is common in many flows processes and is challenging to model. The trajectory of the flow travels near relative periodic orbits (RPOs), interspersed with sporadic bursting events corresponding to excursions between the regions containing the RPOs. The first step in development of the models is use of an undercomplete autoencoder to map from the full state data down to a latent space of dramatically lower dimension. Then models of the discrete-time evolution of the dynamics in the latent space are developed. By analyzing the model performance as a function of latent space dimension we can estimate the minimum number of dimensions required to capture the system dynamics. To further reduce the dimension of the dynamical model, we factor out a phase variable in the direction of translational invariance for the flow, leading to separate evolution equations for the pattern and phase dynamics. At a model dimension of five for the pattern dynamics, as opposed to the full state dimension of 1024 (i.e. a 32x32 grid), accurate predictions are found for individual trajectories out to about two Lyapunov times, as well as for long-time statistics. The nearly heteroclinic connections between the different RPOs, including the quiescent and bursting time scales, are well captured. We also capture key features of the phase dynamics. Finally, we use the low-dimensional representation to predict future bursting events, finding good success.




Abstract:Deep reinforcement learning (RL) is a data-driven method capable of discovering complex control strategies for high-dimensional systems, making it promising for flow control applications. In particular, the present work is motivated by the goal of reducing energy dissipation in turbulent flows, and the example considered is the spatiotemporally chaotic dynamics of the Kuramoto-Sivashinsky equation (KSE). A major challenge associated with RL is that substantial training data must be generated by repeatedly interacting with the target system, making it costly when the system is computationally or experimentally expensive. We mitigate this challenge in a data-driven manner by combining dimensionality reduction via an autoencoder with a neural ODE framework to obtain a low-dimensional dynamical model from just a limited data set. We substitute this data-driven reduced-order model (ROM) in place of the true system during RL training to efficiently estimate the optimal policy, which can then be deployed on the true system. For the KSE actuated with localized forcing ("jets") at four locations, we demonstrate that we are able to learn a ROM that accurately captures the actuated dynamics as well as the underlying natural dynamics just from snapshots of the KSE experiencing random actuations. Using this ROM and a control objective of minimizing dissipation and power cost, we extract a control policy from it using deep RL. We show that the ROM-based control strategy translates well to the true KSE and highlight that the RL agent discovers and stabilizes an underlying forced equilibrium solution of the KSE system. We show that this forced equilibrium captured in the ROM and discovered through RL is related to an existing known equilibrium solution of the natural KSE.