



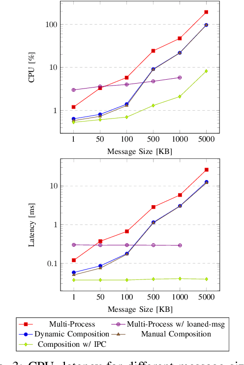
Abstract:The Robot Operating System 2 (ROS 2) is the second generation of ROS representing a step forward in the robotic framework. Several new types of nodes and executor models are integral to control where, how, and when information is processed in the computational graph. This paper explores and benchmarks one of these new node types -- the Component node -- which allows nodes to be composed manually or dynamically into processes while retaining separation of concerns in a codebase for distributed development. Composition is shown to achieve a high degree of performance optimization, particularly valuable for resource-constrained systems and sensor processing pipelines, enabling distributed tasks that would not be otherwise possible in ROS 2. In this work, we briefly introduce the significance and design of node composition, then our contribution of benchmarking is provided to analyze its impact on robotic systems. Its compelling influence on performance is shown through several experiments on the latest Long Term Support (LTS) ROS 2 distribution, Humble Hawksbill.
Abstract:Clinicians face several significant barriers to search and synthesize accurate, succinct, updated, and trustworthy medical information from several literature sources during the practice of medicine and patient care. In this talk, we will be presenting our research behind the development of a Focused Clinical Search Service, powered by a Healthcare Knowledge Graph, to interpret the query intent behind clinical search queries and retrieve relevant medical snippets from a diverse corpus of medical literature.