



Abstract:Real-time classification of Electromyography signals is the most challenging part of controlling a prosthetic hand. Achieving a high classification accuracy of EMG signals in a short delay time is still challenging. Recurrent neural networks (RNNs) are artificial neural network architectures that are appropriate for sequential data such as EMG. In this paper, after extracting features from a hybrid time-frequency domain (discrete Wavelet transform), we utilize a set of recurrent neural network-based architectures to increase the classification accuracy and reduce the prediction delay time. The performances of these architectures are compared and in general outperform other state-of-the-art methods by achieving 96% classification accuracy in 600 msec.




Abstract:In recent years, real-time control of prosthetic hands has gained a great deal of attention. In particular, real-time analysis of Electromyography (EMG) signals has several challenges to achieve an acceptable accuracy and execution delay. In this paper, we address some of these challenges by improving the accuracy in a shorter signal length. We first introduce a set of new feature extraction functions applying on each level of wavelet decomposition. Then, we propose a postprocessing approach to process the neural network outputs. The experimental results illustrate that the proposed method enhances the accuracy of real-time classification of EMG signals up to $95.5\%$ for $800$ msec signal length. The proposed postprocessing method achieves higher consistency compared with conventional majority voting and Bayesian fusion methods.




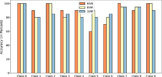
Abstract:Electromyography is a promising approach to the gesture recognition of humans if an efficient classifier with high accuracy is available. In this paper, we propose to utilize Extreme Value Machine (EVM) as a high-performance algorithm for the classification of EMG signals. We employ reflection coefficients obtained from an Autoregressive (AR) model to train a set of classifiers. Our experimental results indicate that EVM has better accuracy in comparison to the conventional classifiers approved in the literature based on K-Nearest Neighbors (KNN) and Support Vector Machine (SVM).




Abstract:Epilepsy can be treated with medication, however, $30\%$ of epileptic patients are still drug resistive. Devices like responsive neurostimluation systems are implanted in select patients who may not be amenable to surgical resection. However, state-of-the-art devices suffer from low accuracy and high sensitivity. We propose a novel patient-specific seizure detection system based on na\"ive Bayesian inference using M\"uller C-elements. The system improves upon the current leading neurostimulation device, NeuroPace's RNS by implementing analog signal processing for feature extraction, minimizing the power consumption compared to the digital counterpart. Preliminary simulations were performed in MATLAB, demonstrating that through integrating multiple channels and features, up to $98\%$ detection accuracy for individual patients can be achieved. Similarly, power calculations were performed, demonstrating that the system uses $6.5 \mu W$ per channel, which when compared to the state-of-the-art NeuroPace system would increase battery life by up to $50 \%$.