



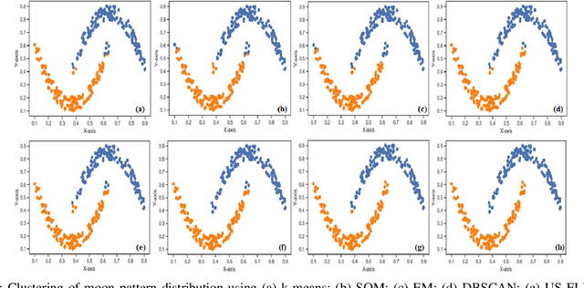
Abstract:A Bayesian Deep Restricted Boltzmann-Kohonen architecture for data clustering termed as DRBM-ClustNet is proposed. This core-clustering engine consists of a Deep Restricted Boltzmann Machine (DRBM) for processing unlabeled data by creating new features that are uncorrelated and have large variance with each other. Next, the number of clusters are predicted using the Bayesian Information Criterion (BIC), followed by a Kohonen Network-based clustering layer. The processing of unlabeled data is done in three stages for efficient clustering of the non-linearly separable datasets. In the first stage, DRBM performs non-linear feature extraction by capturing the highly complex data representation by projecting the feature vectors of $d$ dimensions into $n$ dimensions. Most clustering algorithms require the number of clusters to be decided a priori, hence here to automate the number of clusters in the second stage we use BIC. In the third stage, the number of clusters derived from BIC forms the input for the Kohonen network, which performs clustering of the feature-extracted data obtained from the DRBM. This method overcomes the general disadvantages of clustering algorithms like the prior specification of the number of clusters, convergence to local optima and poor clustering accuracy on non-linear datasets. In this research we use two synthetic datasets, fifteen benchmark datasets from the UCI Machine Learning repository, and four image datasets to analyze the DRBM-ClustNet. The proposed framework is evaluated based on clustering accuracy and ranked against other state-of-the-art clustering methods. The obtained results demonstrate that the DRBM-ClustNet outperforms state-of-the-art clustering algorithms.