



Abstract:A fundamental challenge in Deep Learning is to find optimal step sizes for stochastic gradient descent. In traditional optimization, line searches are a commonly used method to determine step sizes. One problem in Deep Learning is that finding appropriate step sizes on the full-batch loss is unfeasible expensive. Therefore, classical line search approaches, designed for losses without inherent noise, are usually not applicable. Recent empirical findings suggest that the full-batch loss behaves locally parabolically in the direction of noisy update step directions. Furthermore, the trend of the optimal update step size is changing slowly. By exploiting these findings, this work introduces a line-search method that approximates the full-batch loss with a parabola estimated over several mini-batches. Learning rates are derived from such parabolas during training. In the experiments conducted, our approach mostly outperforms SGD tuned with a piece-wise constant learning rate schedule and other line search approaches for Deep Learning across models, datasets, and batch sizes on validation and test accuracy.




Abstract:Optimization in Deep Learning is mainly guided by vague intuitions and strong assumptions, with a limited understanding how and why these work in practice. To shed more light on this, our work provides some deeper understandings of how SGD behaves by empirically analyzing the trajectory taken by SGD from a line search perspective. Specifically, a costly quantitative analysis of the full-batch loss along SGD trajectories from common used models trained on a subset of CIFAR-10 is performed. Our core results include that the full-batch loss along lines in update step direction is highly parabolically. Further on, we show that there exists a learning rate with which SGD always performs almost exact line searches on the full-batch loss. Finally, we provide a different perspective why increasing the batch size has almost the same effect as decreasing the learning rate by the same factor.




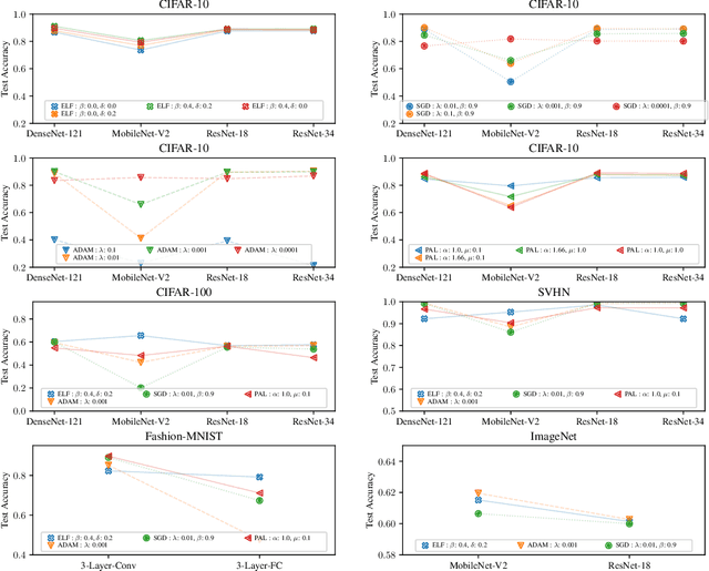
Abstract:A fundamental challenge in deep learning is that the optimal step sizes for update steps of stochastic gradient descent are unknown. In traditional optimization, line searches are used to determine good step sizes, however, in deep learning, it is too costly to search for good step sizes on the expected empirical loss due to noisy losses. This empirical work shows that it is possible to approximate the expected empirical loss on vertical cross sections for common deep learning tasks considerably cheaply. This is achieved by applying traditional one-dimensional function fitting to measured noisy losses of such cross sections. The step to a minimum of the resulting approximation is then used as step size for the optimization. This approach leads to a robust and straightforward optimization method which performs well across datasets and architectures without the need of hyperparameter tuning.




Abstract:We present a novel optimizer for deep neural networks that combines the ideas of Netwon's method and line search to efficiently compute and utilize curvature information. Our work is based on empirical observation suggesting that the loss function can be approximated by a parabola in negative gradient direction. Due to this approximation, we are able to perform a variable and loss function dependent parameter update by jumping directly into the minimum of the approximated parabola. To evaluate our optimizer, we performed multiple comprehensive hyperparameter grid searches for which we trained more than 20000 networks in total. We can show that PAL outperforms RMSPROP, and can outperform gradient descent with momentum and ADAM on large-scale high-dimensional machine learning problems. Furthermore, PAL requires up to 52.2% less training epochs. PyTorch and TensorFlow implementations are provided at https://github.com/cogsys-tuebingen/PAL.