


Abstract:The concept of nimbers--a.k.a. Grundy-values or nim-values--is fundamental to combinatorial game theory. Nimbers provide a complete characterization of strategic interactions among impartial games in their disjunctive sums as well as the winnability. In this paper, we initiate a study of nimber-preserving reductions among impartial games. These reductions enhance the winnability-preserving reductions in traditional computational characterizations of combinatorial games. We prove that Generalized Geography is complete for the natural class, $\cal{I}^P$ , of polynomially-short impartial rulesets under nimber-preserving reductions, a property we refer to as Sprague-Grundy-complete. In contrast, we also show that not every PSPACE-complete ruleset in $\cal{I}^P$ is Sprague-Grundy-complete for $\cal{I}^P$ . By considering every impartial game as an encoding of its nimber, our technical result establishes the following striking cryptography-inspired homomorphic theorem: Despite the PSPACE-completeness of nimber computation for $\cal{I}^P$ , there exists a polynomial-time algorithm to construct, for any pair of games $G_1$, $G_2$ of $\cal{I}^P$ , a prime game (i.e. a game that cannot be written as a sum) $H$ of $\cal{I}^P$ , satisfying: nimber($H$) = nimber($G_1$) $\oplus$ nimber($G_2$).




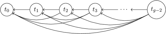
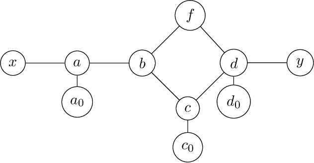
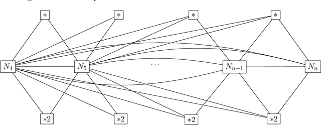
Abstract:We settle two long-standing complexity-theoretical questions-open since 1981 and 1993-in combinatorial game theory (CGT). We prove that the Grundy value (a.k.a. nim-value, or nimber) of Undirected Geography is PSPACE-complete to compute. This exhibits a stark contrast with a result from 1993 that Undirected Geography is polynomial-time solvable. By distilling to a simple reduction, our proof further establishes a dichotomy theorem, providing a "phase transition to intractability" in Grundy-value computation, sharply characterized by a maximum degree of four: The Grundy value of Undirected Geography over any degree-three graph is polynomial-time computable, but over degree-four graphs-even when planar and bipartite-is PSPACE-hard. Additionally, we show, for the first time, how to construct Undirected Geography instances with Grundy value $\ast n$ and size polynomial in n. We strengthen a result from 1981 showing that sums of tractable partisan games are PSPACE-complete in two fundamental ways. First, since Undirected Geography is an impartial ruleset, we extend the hardness of sums to impartial games, a strict subset of partisan. Second, the 1981 construction is not built from a natural ruleset, instead using a long sum of tailored short-depth game positions. We use the sum of two Undirected Geography positions to create our hard instances. Our result also has computational implications to Sprague-Grundy Theory (1930s) which shows that the Grundy value of the disjunctive sum of any two impartial games can be computed-in polynomial time-from their Grundy values. In contrast, we prove that assuming PSPACE $\neq$ P, there is no general polynomial-time method to summarize two polynomial-time solvable impartial games to efficiently solve their disjunctive sum.




Abstract:Recently, a standardized framework was proposed for introducing quantum-inspired moves in mathematical games with perfect information and no chance. The beauty of quantum games-succinct in representation, rich in structures, explosive in complexity, dazzling for visualization, and sophisticated for strategic reasoning-has drawn us to play concrete games full of subtleties and to characterize abstract properties pertinent to complexity consequence. Going beyond individual games, we explore the tractability of quantum combinatorial games as whole, and address fundamental questions including: Quantum Leap in Complexity: Are there polynomial-time solvable games whose quantum extensions are intractable? Quantum Collapses in Complexity: Are there PSPACE-complete games whose quantum extensions fall to the lower levels of the polynomial-time hierarchy? Quantumness Matters: How do outcome classes and strategies change under quantum moves? Under what conditions doesn't quantumness matter? PSPACE Barrier for Quantum Leap: Can quantum moves launch PSPACE games into outer polynomial space We show that quantum moves not only enrich the game structure, but also impact their computational complexity. In settling some of these basic questions, we characterize both the powers and limitations of quantum moves as well as the superposition of game configurations that they create. Our constructive proofs-both on the leap of complexity in concrete Quantum Nim and Quantum Undirected Geography and on the continuous collapses, in the quantum setting, of complexity in abstract PSPACE-complete games to each level of the polynomial-time hierarchy-illustrate the striking computational landscape over quantum games and highlight surprising turns with unexpected quantum impact. Our studies also enable us to identify several elegant open questions fundamental to quantum combinatorial game theory (QCGT).