
Abstract:Algorithm selection is typically based on models of algorithm performance, learned during a separate offline training sequence, which can be prohibitively expensive. In recent work, we adopted an online approach, in which a performance model is iteratively updated and used to guide selection on a sequence of problem instances. The resulting exploration-exploitation trade-off was represented as a bandit problem with expert advice, using an existing solver for this game, but this required the setting of an arbitrary bound on algorithm runtimes, thus invalidating the optimal regret of the solver. In this paper, we propose a simpler framework for representing algorithm selection as a bandit problem, with partial information, and an unknown bound on losses. We adapt an existing solver to this game, proving a bound on its expected regret, which holds also for the resulting algorithm selection technique. We present preliminary experiments with a set of SAT solvers on a mixed SAT-UNSAT benchmark.



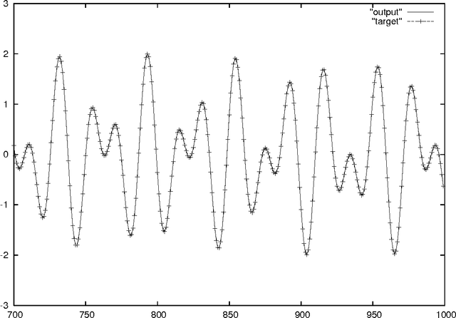
Abstract:Traditional Support Vector Machines (SVMs) need pre-wired finite time windows to predict and classify time series. They do not have an internal state necessary to deal with sequences involving arbitrary long-term dependencies. Here we introduce a new class of recurrent, truly sequential SVM-like devices with internal adaptive states, trained by a novel method called EVOlution of systems with KErnel-based outputs (Evoke), an instance of the recent Evolino class of methods. Evoke evolves recurrent neural networks to detect and represent temporal dependencies while using quadratic programming/support vector regression to produce precise outputs. Evoke is the first SVM-based mechanism learning to classify a context-sensitive language. It also outperforms recent state-of-the-art gradient-based recurrent neural networks (RNNs) on various time series prediction tasks.