



Abstract:Link prediction in graphs is a task that has been widely investigated. It has been applied in various domains such as knowledge graph completion, content/item recommendation, social network recommendations and so on. The initial focus of most research was on link prediction in static graphs. However, there has recently been abundant work on modeling temporal graphs, and consequently one of the tasks that has been researched is link prediction in temporal graphs. However, most of the existing work does not focus on the order of link formation, and only predicts the existence of links. In this study, we aim to predict the order of node interactions.




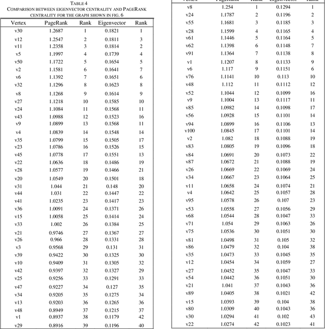
Abstract:The purpose of the research is to find a centrality measure that can be used in place of PageRank and to find out the conditions where we can use it in place of PageRank. After analysis and comparison of graphs with a large number of nodes using Spearman's Rank Coefficient Correlation, the conclusion is evident that Eigenvector can be safely used in place of PageRank in directed networks to improve the performance in terms of the time complexity.
Abstract:In this work, we predict the sentiment of restaurant reviews based on a subset of the Yelp Open Dataset. We utilize the meta features and text available in the dataset and evaluate several machine learning and state-of-the-art deep learning approaches for the prediction task. Through several qualitative experiments, we show the success of the deep models with attention mechanism in learning a balanced model for reviews across different restaurants. Finally, we propose a novel Multi-tasked joint BERT model that improves the overall classification performance.