



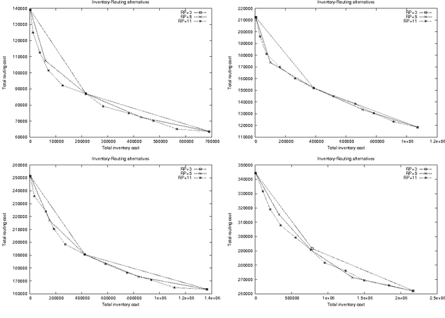
Abstract:Eliciting preferences of a decision maker is a key factor to successfully combine search and decision making in an interactive method. Therefore, the progressively integration and simulation of the decision maker is a main concern in an application. We contribute in this direction by proposing an interactive method based on a reference point-based guided local search to the bi-objective Inventory Routing Problem. A local search metaheuristic, working on the delivery intervals, and the Clarke & Wright savings heuristic is employed for the subsequently obtained Vehicle Routing Problem. To elicit preferences, the decision maker selects a reference point to guide the search in interesting subregions. Additionally, the reference point is used as a reservation point to discard solutions outside the cone, introduced as a convergence criterion. Computational results of the reference point-based guided local search are reported and analyzed on benchmark data in order to show the applicability of the approach.
Abstract:The resource constrained multi-mode multi-project scheduling problem (RCMMMPSP) is a notoriously difficult combinatorial optimization problem. For a given set of activities, feasible execution mode assignments and execution starting times must be found such that some optimization function, e.g. the makespan, is optimized. When determining an optimal (or at least feasible) assignment of decision variable values, a set of side constraints, such as resource availabilities, precedence constraints, etc., has to be respected. In 2013, the MISTA 2013 Challenge stipulated research in the RCMMMPSP. It's goal was the solution of a given set of instances under running time restrictions. We have contributed to this challenge with the here presented approach.
Abstract:The solution of the biobjective IRP is rather challenging, even for metaheuristics. We are still lacking a profound understanding of appropriate solution representations and effective neighborhood structures. Clearly, both the delivery volumes and the routing aspects of the alternatives need to be reflected in an encoding, and must be modified when searching by means of local search. Our work contributes to the better understanding of such solution representations. On the basis of an experimental investigation, the advantages and drawbacks of two encodings are studied and compared.

Abstract:Variable neighborhood search (VNS) is a metaheuristic for solving optimization problems based on a simple principle: systematic changes of neighborhoods within the search, both in the descent to local minima and in the escape from the valleys which contain them. Designing these neighborhoods and applying them in a meaningful fashion is not an easy task. Moreover, an appropriate order in which they are applied must be determined. In this paper we attempt to investigate this issue. Assume that we are given an optimization problem that is intended to be solved by applying the VNS scheme, how many and which types of neighborhoods should be investigated and what could be appropriate selection criteria to apply these neighborhoods. More specifically, does it pay to "look ahead" (see, e.g., in the context of VNS and GRASP) when attempting to switch from one neighborhood to another?




Abstract:The article presents a study on the biobjective inventory routing problem. Contrary to most previous research, the problem is treated as a true multi-objective optimization problem, with the goal of identifying Pareto-optimal solutions. Due to the hardness of the problem at hand, a reference point based optimization approach is presented and implemented into an optimization and decision support system, which allows for the computation of a true subset of the optimal outcomes. Experimental investigation involving local search metaheuristics are conducted on benchmark data, and numerical results are reported and analyzed.



Abstract:The global objective of this work is to provide practical optimization methods to companies involved in inventory routing problems, taking into account this new type of data. Also, companies are sometimes not able to deal with changing plans every period and would like to adopt regular structures for serving customers.
Abstract:On the basis of an analysis of previous research, we present a generalized approach for measuring the difference of plans with an exemplary application to machine scheduling. Our work is motivated by the need for such measures, which are used in dynamic scheduling and planning situations. In this context, quantitative approaches are needed for the assessment of the robustness and stability of schedules. Obviously, any `robustness' or `stability' of plans has to be defined w. r. t. the particular situation and the requirements of the human decision maker. Besides the proposition of an instability measure, we therefore discuss possibilities of obtaining meaningful information from the decision maker for the implementation of the introduced approach.




Abstract:The article describes the proposition and application of a local search metaheuristic for multi-objective optimization problems. It is based on two main principles of heuristic search, intensification through variable neighborhoods, and diversification through perturbations and successive iterations in favorable regions of the search space. The concept is successfully tested on permutation flow shop scheduling problems under multiple objectives and compared to other local search approaches. While the obtained results are encouraging in terms of their quality, another positive attribute of the approach is its simplicity as it does require the setting of only very few parameters.




Abstract:The article presents a study of rather simple local search heuristics for the single machine total weighted tardiness problem (SMTWTP), namely hillclimbing and Variable Neighborhood Search. In particular, we revisit these approaches for the SMTWTP as there appears to be a lack of appropriate/challenging benchmark instances in this case. The obtained results are impressive indeed. Only few instances remain unsolved, and even those are approximated within 1% of the optimal/best known solutions. Our experiments support the claim that metaheuristics for the SMTWTP are very likely to lead to good results, and that, before refining search strategies, more work must be done with regard to the proposition of benchmark data. Some recommendations for the construction of such data sets are derived from our investigations.




Abstract:The paper presents a study of local search heuristics in general and variable neighborhood search in particular for the resolution of an assignment problem studied in the practical work of universities. Here, students have to be assigned to scientific topics which are proposed and supported by members of staff. The problem involves the optimization under given preferences of students which may be expressed when applying for certain topics. It is possible to observe that variable neighborhood search leads to superior results for the tested problem instances. One instance is taken from an actual case, while others have been generated based on the real world data to support the analysis with a deeper analysis. An extension of the problem has been formulated by integrating a second objective function that simultaneously balances the workload of the members of staff while maximizing utility of the students. The algorithmic approach has been prototypically implemented in a computer system. One important aspect in this context is the application of the research work to problems of other scientific institutions, and therefore the provision of decision support functionalities.