



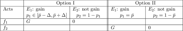
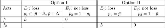
Abstract:We provide here a general mathematical framework to model attitudes towards ambiguity which uses the formalism of quantum theory as a "purely mathematical formalism, detached from any physical interpretation". We show that the quantum-theoretic framework enables modelling of the "Ellsberg paradox", but it also successfully applies to more concrete human decision-making (DM) tests involving financial, managerial and medical decisions. In particular, we provide a faithful mathematical representation of various empirical studies which reveal that attitudes of managers towards uncertainty shift from "ambiguity seeking" to "ambiguity aversion", and viceversa, thus exhibiting "hope effects" and "fear effects" in management decisions. The present framework provides a new bold and promising direction towards the development of a unified theory of decisions in the presence of uncertainty.