



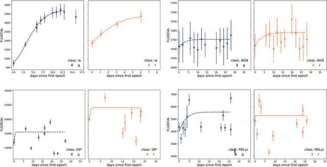
Abstract:We describe how the Fink broker early supernova Ia classifier optimizes its ML classifications by employing an active learning (AL) strategy. We demonstrate the feasibility of implementation of such strategies in the current Zwicky Transient Facility (ZTF) public alert data stream. We compare the performance of two AL strategies: uncertainty sampling and random sampling. Our pipeline consists of 3 stages: feature extraction, classification and learning strategy. Starting from an initial sample of 10 alerts (5 SN Ia and 5 non-Ia), we let the algorithm identify which alert should be added to the training sample. The system is allowed to evolve through 300 iterations. Our data set consists of 23 840 alerts from the ZTF with confirmed classification via cross-match with SIMBAD database and the Transient name server (TNS), 1 600 of which were SNe Ia (1 021 unique objects). The data configuration, after the learning cycle was completed, consists of 310 alerts for training and 23 530 for testing. Averaging over 100 realizations, the classifier achieved 89% purity and 54% efficiency. From 01/November/2020 to 31/October/2021 Fink has applied its early supernova Ia module to the ZTF stream and communicated promising SN Ia candidates to the TNS. From the 535 spectroscopically classified Fink candidates, 459 (86%) were proven to be SNe Ia. Our results confirm the effectiveness of active learning strategies for guiding the construction of optimal training samples for astronomical classifiers. It demonstrates in real data that the performance of learning algorithms can be highly improved without the need of extra computational resources or overwhelmingly large training samples. This is, to our knowledge, the first application of AL to real alerts data.