Abstract:Foam formation in Wastewater Treatment Plants (WTPs) is a major challenge that can reduce treatment efficiency and increase costs. The ability to automatically examine changes in real-time with respect to the percentage of foam can be of great benefit to the plant. However, large amounts of labeled data are required to train standard Machine Learning (ML) models. The development of these systems is slow due to the scarcity and heterogeneity of labeled data. Additionally, the development is often hindered by the fact that different WTPs do not share their data due to privacy concerns. This paper proposes a new framework to address these challenges by combining Federated Learning (FL) with the state-of-the-art base model for image segmentation, Segment Anything Model 2 (SAM2). The FL paradigm enables collaborative model training across multiple WTPs without centralizing sensitive operational data, thereby ensuring privacy. The framework accelerates training convergence and improves segmentation performance even with limited local datasets by leveraging SAM2's strong pre-trained weights for initialization. The methodology involves fine-tuning SAM2 on distributed clients (edge nodes) using the Flower framework, where a central Fog server orchestrates the process by aggregating model weights without accessing private data. The model was trained and validated using various data collections, including real-world images captured at a WTPs in Granada, Spain, a synthetically generated foam dataset, and images from publicly available datasets to improve generalization. This research offers a practical, scalable, and privacy-aware solution for automatic foam tracking in WTPs. The findings highlight the significant potential of integrating large-scale foundational models into FL systems to solve real-world industrial challenges characterized by distributed and sensitive data.




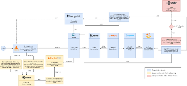
Abstract:Although digital twins have recently emerged as a clear alternative for reliable asset representations, most of the solutions and tools available for the development of digital twins are tailored to specific environments. Furthermore, achieving reliable digital twins often requires the orchestration of technologies and paradigms such as machine learning, the Internet of Things, and 3D visualization, which are rarely seamlessly aligned. In this paper, we present a generic framework for the development of effective digital twins combining some of the aforementioned areas. In this open framework, digital twins can be easily developed and orchestrated with 3D connected visualizations, IoT data streams, and real-time machine-learning predictions. To demonstrate the feasibility of the framework, a use case in the Petrochemical Industry 4.0 has been developed.




Abstract:Machine Learning (ML) and Artificial Intelligence (AI) have a dependency on data sources to train, improve and make predictions through their algorithms. With the digital revolution and current paradigms like the Internet of Things, this information is turning from static data into continuous data streams. However, most of the ML/AI frameworks used nowadays are not fully prepared for this revolution. In this paper, we proposed Kafka-ML, an open-source framework that enables the management of TensorFlow ML/AI pipelines through data streams (Apache Kafka). Kafka-ML provides an accessible and user-friendly Web UI where users can easily define ML models, to then train, evaluate and deploy them for inference. Kafka-ML itself and its deployed components are fully managed through containerization technologies, which ensure its portability and easy distribution and other features such as fault-tolerance and high availability. Finally, a novel approach has been introduced to manage and reuse data streams, which may lead to the (no) utilization of data storage and file systems.