



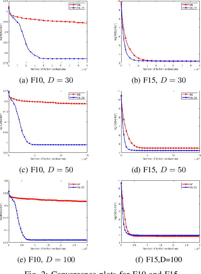
Abstract:Differential evolution (DE) is an effective population-based metaheuristic algorithm for solving complex optimisation problems. However, the performance of DE is sensitive to the mutation operator. In this paper, we propose a novel DE algorithm, Clu-DE, that improves the efficacy of DE using a novel clustering-based mutation operator. First, we find, using a clustering algorithm, a winner cluster in search space and select the best candidate solution in this cluster as the base vector in the mutation operator. Then, an updating scheme is introduced to include new candidate solutions in the current population. Experimental results on CEC-2017 benchmark functions with dimensionalities of 30, 50 and 100 confirm that Clu-DE yields improved performance compared to DE.


Abstract:Advances in embedded systems have enabled integration of many lightweight sensory devices within our daily life. In particular, this trend has given rise to continuous expansion of wearable sensors in a broad range of applications from health and fitness monitoring to social networking and military surveillance. Wearables leverage machine learning techniques to profile behavioral routine of their end-users through activity recognition algorithms. Current research assumes that such machine learning algorithms are trained offline. In reality, however, wearables demand continuous reconfiguration of their computational algorithms due to their highly dynamic operation. Developing a personalized and adaptive machine learning model requires real-time reconfiguration of the model. Due to stringent computation and memory constraints of these embedded sensors, the training/re-training of the computational algorithms need to be memory- and computation-efficient. In this paper, we propose a framework, based on the notion of online learning, for real-time and on-device machine learning training. We propose to transform the activity recognition problem from a multi-class classification problem to a hierarchical model of binary decisions using cascading online binary classifiers. Our results, based on Pegasos online learning, demonstrate that the proposed approach achieves 97% accuracy in detecting activities of varying intensities using a limited memory while power usages of the system is reduced by more than 40%.




Abstract:We propose two optimization techniques to minimize memory usage and computation while meeting system timing constraints for real-time classification in wearable systems. Our method derives a hierarchical classifier structure for Support Vector Machine (SVM) in order to reduce the amount of computations, based on the probability distribution of output classes occurrences. Also, we propose a memory optimization technique based on SVM parameters, which results in storing fewer support vectors and as a result requiring less memory. To demonstrate the efficiency of our proposed techniques, we performed an activity recognition experiment and were able to save up to 35% and 56% in memory storage when classifying 14 and 6 different activities, respectively. In addition, we demonstrated that there is a trade-off between accuracy of classification and memory savings, which can be controlled based on application requirements.