



Abstract:The distributed Grid infrastructure for High Energy Physics experiments at the Large Hadron Collider (LHC) in Geneva comprises a set of computing centres, spread all over the world, as part of the Worldwide LHC Computing Grid (WLCG). In Italy, the Tier-1 functionalities are served by the INFN-CNAF data center, which provides also computing and storage resources to more than twenty non-LHC experiments. For this reason, a high amount of logs are collected each day from various sources, which are highly heterogeneous and difficult to harmonize. In this contribution, a working implementation of a system that collects, parses and displays the log information from CNAF data sources and the investigation of a Machine Learning based predictive maintenance system, is presented.




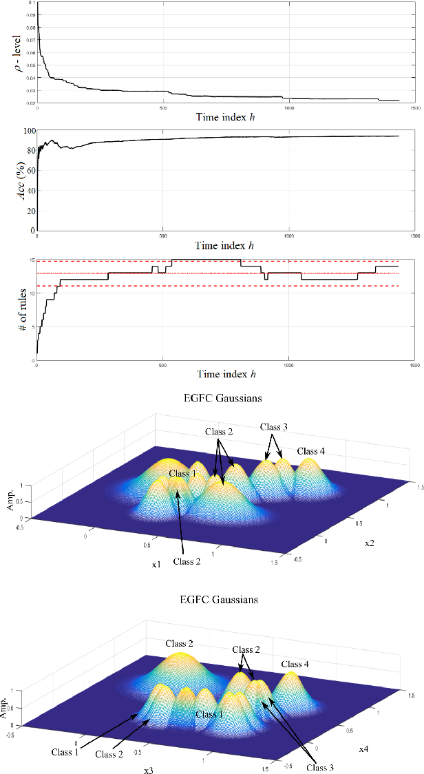
Abstract:Detection of anomalous behaviors in data centers is crucial to predictive maintenance and data safety. With data centers, we mean any computer network that allows users to transmit and exchange data and information. In particular, we focus on the Tier-1 data center of the Italian Institute for Nuclear Physics (INFN), which supports the high-energy physics experiments at the Large Hadron Collider (LHC) in Geneva. The center provides resources and services needed for data processing, storage, analysis, and distribution. Log records in the data center is a stochastic and non-stationary phenomenon in nature. We propose a real-time approach to monitor and classify log records based on sliding time windows, and a time-varying evolving fuzzy-rule-based classification model. The most frequent log pattern according to a control chart is taken as the normal system status. We extract attributes from time windows to gradually develop and update an evolving Gaussian Fuzzy Classifier (eGFC) on the fly. The real-time anomaly monitoring system has to provide encouraging results in terms of accuracy, compactness, and real-time operation.