UPD5, LPI
Abstract:Natural generation allows Language Models (LMs) to produce free-form responses with rich reasoning, but the lack of guaranteed structure makes outputs difficult to parse or verify. Structured generation, or constrained decoding, addresses this drawback by producing content in standardized formats such as JSON, ensuring consistency and guaranteed-parsable outputs, but it can inadvertently restrict the model's reasoning capabilities. In this work, we propose a simple approach that combines the advantages of both natural and structured generation. By allowing LLMs to reason freely until specific trigger tokens are generated, and then switching to structured generation, our method preserves the expressive power of natural language reasoning while ensuring the reliability of structured outputs. We further evaluate our approach on several datasets, covering both classification and reasoning tasks, to demonstrate its effectiveness, achieving a substantial gain of up to 27% in accuracy compared to natural generation, while requiring only a small overhead of 10-20 extra tokens.
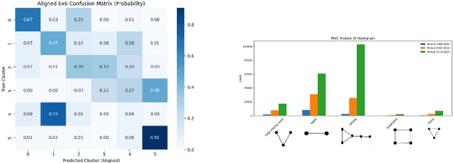
Abstract:Real-world knowledge can take various forms, including structured, semi-structured, and unstructured data. Among these, knowledge graphs are a form of structured human knowledge that integrate heterogeneous data sources into structured representations but typically reduce complex n-ary relations to simple triples, thereby losing higher-order relational details. In contrast, hypergraphs naturally represent n-ary relations with hyperedges, which directly connect multiple entities together. Yet hypergraph representation learning often overlooks entity roles in hyperedges, limiting the fine-grained semantic modelling. To address these issues, knowledge hypergraphs and hyper-relational knowledge graphs combine the advantages of knowledge graphs and hypergraphs to better capture the complex structures and role-specific semantics of real-world knowledge. This survey provides a comprehensive review of methods handling n-ary relational data, covering both knowledge hypergraphs and hyper-relational knowledge graphs literatures. We propose a two-dimensional taxonomy: the first dimension categorises models based on their methodology, i.e., translation-based models, tensor factorisation-based models, deep neural network-based models, logic rules-based models, and hyperedge expansion-based models. The second dimension classifies models according to their awareness of entity roles and positions in n-ary relations, dividing them into aware-less, position-aware, and role-aware approaches. Finally, we discuss existing datasets, negative sampling strategies, and outline open challenges to inspire future research.


Abstract:Active area of research in AI is the theory of manifold learning and finding lower-dimensional manifold representation on how we can learn geometry from data for providing better quality curated datasets. There are however various issues with these methods related to finding low-dimensional representation of the data, the so-called curse of dimensionality. Geometric deep learning methods for data learning often include set of assumptions on the geometry of the feature space. Some of these assumptions include pre-selected metrics on the feature space, usage of the underlying graph structure, which encodes the data points proximity. However, the later assumption of using a graph as the underlying discrete structure, encodes only the binary pairwise relations between data points, restricting ourselves from capturing more complex higher-order relationships, which are often often present in various systems. These assumptions together with data being discrete and finite can cause some generalisations, which are likely to create wrong interpretations of the data and models outputs. Hence overall this can cause wrong outputs of the embedding models themselves, while these models being quite and trained on large corpora of data, such as BERT, Yi and other similar models.The objective of our research is twofold, first, it is to develop the alternative framework to characterize the embedding methods dissecting their possible inconsistencies using combinatorial approach of higher-order structures which encode the embedded data. Second objective is to explore the assumption of the underlying structure of embeddings to be graphs, substituting it with the hypergraph and using the hypergraph theory to analyze this structure. We also demonstrate the embedding characterization on the usecase of the arXiv data.