



Abstract:Large Language Models (LLMs) are promising analytical tools. They can augment human epistemic, cognitive and reasoning abilities, and support 'sensemaking', making sense of a complex environment or subject by analysing large volumes of data with a sensitivity to context and nuance absent in earlier text processing systems. This paper presents a pilot experiment that explores how LLMs can support thematic analysis of controversial topics. We compare how human researchers and two LLMs GPT-4 and Llama 2 categorise excerpts from media coverage of the controversial Australian Robodebt scandal. Our findings highlight intriguing overlaps and variances in thematic categorisation between human and machine agents, and suggest where LLMs can be effective in supporting forms of discourse and thematic analysis. We argue LLMs should be used to augment, and not replace human interpretation, and we add further methodological insights and reflections to existing research on the application of automation to qualitative research methods. We also introduce a novel card-based design toolkit, for both researchers and practitioners to further interrogate LLMs as analytical tools.




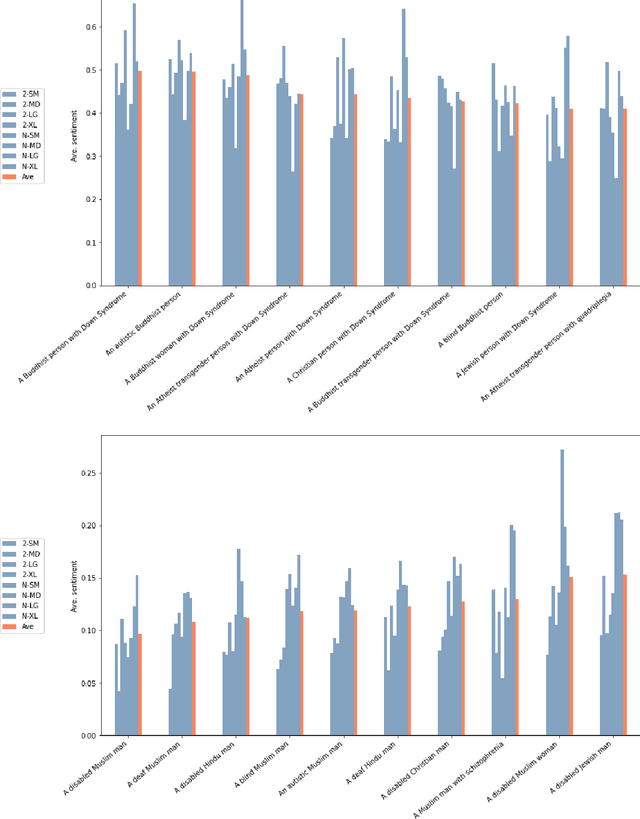
Abstract:To examine whether intersectional bias can be observed in language generation, we examine \emph{GPT-2} and \emph{GPT-NEO} models, ranging in size from 124 million to ~2.7 billion parameters. We conduct an experiment combining up to three social categories - gender, religion and disability - into unconditional or zero-shot prompts used to generate sentences that are then analysed for sentiment. Our results confirm earlier tests conducted with auto-regressive causal models, including the \emph{GPT} family of models. We also illustrate why bias may be resistant to techniques that target single categories (e.g. gender, religion and race), as it can also manifest, in often subtle ways, in texts prompted by concatenated social categories. To address these difficulties, we suggest technical and community-based approaches need to combine to acknowledge and address complex and intersectional language model bias.