



Abstract:Handwriting recognition technology allows recognizing a written text from a given data. The recognition task can target letters, symbols, or words, and the input data can be a digital image or recorded by various sensors. A wide range of applications from signature verification to electronic document processing can be realized by implementing efficient and accurate handwriting recognition algorithms. Over the years, there has been an increasing interest in experimenting with different types of technology to collect handwriting data, create datasets, and develop algorithms to recognize characters and symbols. More recently, the OnHW-chars dataset has been published that contains multivariate time series data of the English alphabet collected using a ballpoint pen fitted with sensors. The authors of OnHW-chars also provided some baseline results through their machine learning (ML) and deep learning (DL) classifiers. In this paper, we develop handwriting recognition models on the OnHW-chars dataset and improve the accuracy of previous models. More specifically, our ML models provide $11.3\%$-$23.56\%$ improvements over the previous ML models, and our optimized DL models with ensemble learning provide $3.08\%$-$7.01\%$ improvements over the previous DL models. In addition to our accuracy improvements over the spectrum, we aim to provide some level of explainability for our models to provide more logic behind chosen methods and why the models make sense for the data type in the dataset. Our results are verifiable and reproducible via the provided public repository.




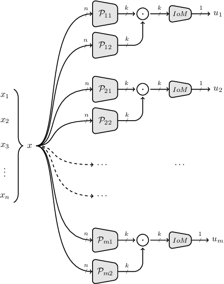
Abstract:Cancelable biometric schemes generate secure biometric templates by combining user specific tokens and biometric data. The main objective is to create irreversible, unlinkable, and revocable templates, with high accuracy in matching. In this paper, we cryptanalyze two recent cancelable biometric schemes based on a particular locality sensitive hashing function, index-of-max (IoM): Gaussian Random Projection-IoM (GRP-IoM) and Uniformly Random Permutation-IoM (URP-IoM). As originally proposed, these schemes were claimed to be resistant against reversibility, authentication, and linkability attacks under the stolen token scenario. We propose several attacks against GRP-IoM and URP-IoM, and argue that both schemes are severely vulnerable against authentication and linkability attacks. We also propose better, but not yet practical, reversibility attacks against GRP-IoM. The correctness and practical impact of our attacks are verified over the same dataset provided by the authors of these two schemes.